精英家教网 > 高中数学 > 题目详情

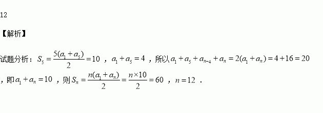
已知是等差数列的前项和,,若,则的值为

练习册系列答案
相关习题

科目:高中数学 来源:2016届辽宁省高三四模理科数学试卷(解析版) 题型:填空题

中,,且,则的面积为________.

查看答案和解析>>

科目:高中数学 来源:2015-2016学年广西桂林十八中高二下期中文科数学试卷(解析版) 题型:解答题

函数.

(Ⅰ)当时,求的单调区间;

(Ⅱ)若,有,求实数的取值范围.

查看答案和解析>>

科目:高中数学 来源:2015-2016学年广西桂林十八中高二下期中文科数学试卷(解析版) 题型:选择题

设函数,则

A.3 B.1 C.0 D.

查看答案和解析>>

科目:高中数学 来源:2015-2016学年黑龙江省高一下期中数学试卷(解析版) 题型:解答题

设向量,函数

(1)求的单调增区间,并求在区间上的最小值.

(2)在分别是角的对边,为锐角,若的面积为,求边长.

查看答案和解析>>

科目:高中数学 来源:2015-2016学年黑龙江省高一下期中数学试卷(解析版) 题型:选择题

向量满足, , 则=( )

A. B. C. D.

查看答案和解析>>

科目:高中数学 来源:2015-2016学年黑龙江省高一下期中数学试卷(解析版) 题型:选择题

中,角所对的边分别为,则的值为( )

A. B. C. D.

查看答案和解析>>

科目:高中数学 来源:2015-2016学年黑龙江省高二下期中文数学试卷(解析版) 题型:选择题

若函数上是增函数,则实数的取值范围是( )

A. B.

C. D.

查看答案和解析>>

科目:高中数学 来源:2015-2016学年黑龙江大庆一中高二下第二次段考文数学卷(解析版) 题型:选择题

直线与圆相交于两点,若,则实数的取值范围是( )

A. B.

C. D.

查看答案和解析>>

同步练习册答案