精英家教网 > 高中数学 > 题目详情
在等比数列{an}中,a5+a6=a(a≠0),a15+a16=b,则a25+a26的值是( )
A.
B.
C.
D.
【答案】分析:根据等比数列的性质可知a5+a6,a15+a16,a25+a26也成等比数列,进而根据等比中项的性质可求得答案.
解答:解:∵数列{an}为等比数列
∴a5+a6,a15+a16,a25+a26也成等比数列
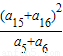
∴a25+a26==
故选C
点评:本题主要考查了等比数列的性质.解题的关键是利用了在等比数列中,依次每 k项之和仍成等比数列.
练习册系列答案
相关习题

科目:高中数学 来源: 题型:

在等比数列{an}中,a4=
2
3
 , a3+a5=
20
9

(1)求数列{an}的通项公式;
(2)若数列{an}的公比大于1,且bn=log3
an
2
,求数列{bn}的前n项和Sn

查看答案和解析>>

科目:高中数学 来源: 题型:

在等比数列{an}中,若a1=1,公比q=2,则a12+a22+…+an2=(  )
A、(2n-1)2
B、
1
3
(2n-1)
C、4n-1
D、
1
3
(4n-1)

查看答案和解析>>

科目:高中数学 来源: 题型:

在等比数列{an}中,如果a1+a3=4,a2+a4=8,那么该数列的前8项和为(  )

查看答案和解析>>

科目:高中数学 来源: 题型:

在等比数列{an}中,a1=1,8a2+a5=0,数列{
1
an
}
的前n项和为Sn,则S5=(  )

查看答案和解析>>

科目:高中数学 来源: 题型:

在等比数列{an}中,an>0且a2=1-a1,a4=9-a3,则a5+a6=
81
81

查看答案和解析>>

同步练习册答案