精英家教网 > 高中数学 > 题目详情

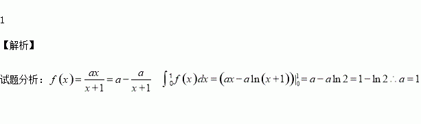
设函数,则a的值为

练习册系列答案
相关习题

科目:高中数学 来源:2015-2016学年山东省高二下学期第一次月考理科数学试卷(解析版) 题型:解答题

(1)依次计算

(2)猜想的结果,并用数学归纳法证明论.

查看答案和解析>>

科目:高中数学 来源:2015-2016学年江西省宜春市高二下第一次月考文科数学试卷(解析版) 题型:解答题

已知椭圆C:的离心率为,F1,F2是椭圆的两个焦点,P是椭圆上任意一点,且△PF1F2的周长是8+2

(1)求椭圆C的方程;

(2)设圆T:(x﹣t)2+y2=,过椭圆的上顶点作圆T的两条切线交椭圆于E、F两点,当圆心在x轴上移动且t∈(1,3)时,求EF的斜率的取值范围.

查看答案和解析>>

科目:高中数学 来源:2015-2016学年江西省宜春市高二下第一次月考文科数学试卷(解析版) 题型:选择题

“mn<0”是“方程mx2+ny2=1表示焦点在y轴上的双曲线”的( )

A.充分而不必要条件 B.必要而不充分条件

C.充分必要条件 D.既不充分也不必要条件

查看答案和解析>>

科目:高中数学 来源:2015-2016学年江西省宜春市高二下第一次月考理科数学试卷(解析版) 题型:解答题

有甲、乙、丙、丁、戊位同学,求:

(1)位同学站成一排,有多少种不同的方法?

(2)位同学站成一排,要求甲乙必须相邻,丙丁不能相邻,有多少种不同的方法?

(3)将位同学分配到三个班,每班至少一人,共有多少种不同的分配方法?

查看答案和解析>>

科目:高中数学 来源:2015-2016学年江西省宜春市高二下第一次月考理科数学试卷(解析版) 题型:选择题

用反证法证明命题:若整系数一元二次方程有有理数根,那么中至少有一个是偶数时,下列假设中正确的是( )

A.假设都是偶数 B.假设都不是偶数

C.假设至多有一个偶数 D.假设至多有两个偶数

查看答案和解析>>

科目:高中数学 来源:2015-2016学年江西省宜春市高二下第一次月考理科数学试卷(解析版) 题型:选择题

已知i为虚数单位,复数,则复数在复平面上的对应点位于( )

A.第一象限 B.第二象限 C.第三象限 D.第四象限

查看答案和解析>>

科目:高中数学 来源:2015-2016学年江西省高二下学期第一次月考文科数学试卷(解析版) 题型:选择题

执行如右图所示的程序框图,输出的s值为( )

A.—3 B.— C. D.2

查看答案和解析>>

科目:高中数学 来源:2015-2016学年湖北省孝感六校联盟高一下学期期中考试文科数学卷(解析版) 题型:选择题

设△ABC的内角A, B, C所对的边分别为a, b, c, 若, 则△ABC的形状为( )

A.锐角三角形 B.直角三角形 C.钝角三角形 D.不确定

查看答案和解析>>

同步练习册答案