精英家教网 > 高中数学 > 题目详情
已知抛物线x2=4y的焦点为F,直线y=kx+1与抛物线交于A,B两点,过A,B两点分别作抛物线的切线,设其交点为M。
(1)当k=时,证明:FM⊥AB;
(2)若过点M作y轴的垂线,垂足为P,点A关于y轴的对称点为Q,求证:P,Q,B三点共线。
解:(1)F(0,1),设A(x1,y1),B(x2,y2),
将y= kx+1代入抛物线x2=4y得x2-4ky-4=0
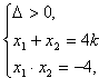
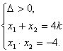
∴当k=时,
∵抛物线方程为x2=4y,即
∴过抛物线上A,B两点的切线方程分别是

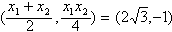
∴两条切线的交点M的坐标为

故FM⊥AB。
(2)由上可知
且 Q(-x1, y1),
P的坐标为

因为x2(y1+1) +x1(y2+1)=2kx1x2+2(x1+x2)=-8k+8k=0
所以
从而P,Q,B三点共线。
练习册系列答案
相关习题

科目:高中数学 来源: 题型:

15、已知抛物线x2=4y的焦点F和点A(-1,8),点P为抛物线上一点,则|PA|+|PF|的最小值为
9

查看答案和解析>>

科目:高中数学 来源: 题型:

13、已知抛物线x2=4y的焦点F和点A(-1,8),P为抛物线上一点,则|PA|+|PF|的最小值是
9

查看答案和解析>>

科目:高中数学 来源: 题型:

已知抛物线x2=4y上的点P(非原点)处的切线与x轴,y轴分别交于Q,R两点,F为焦点.
(Ⅰ)若
PQ
PR
,求λ.
(Ⅱ)若抛物线上的点A满足条件
PF
FA
,求△APR的面积最小值,并写出此时的切线方程.

查看答案和解析>>

科目:高中数学 来源: 题型:

(2009•温州一模)如图,已知抛物线x2=4y,过抛物线上一点A(x1,y1)(不同于顶点)作抛物线的切线l,并交x轴于点C,在直线y=-1上任取一点H,过H作HD垂直x轴于D,并交l于点E,过H作直线HF垂直直线l,并交x轴于点F.
(I)求证:|OC|=|DF|;
(II)试判断直线EF与抛物线的位置关系并说明理由.

查看答案和解析>>

科目:高中数学 来源: 题型:

(2011•浙江模拟)已知抛物线x2=4y,圆C:x2+(y-2)2=4,M(x0,y0),(x0>0,y0>0)为抛物线上的动点.
(Ⅰ)若y0=4,求过点M的圆的切线方程;
(Ⅱ)若y0>4,求过点M的圆的两切线与x轴围成的三角形面积S的最小值.

查看答案和解析>>

同步练习册答案