精英家教网 > 高中数学 > 题目详情

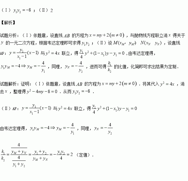
如图,已知抛物线的焦点为F过点的直线交抛物线于A,B两点,直线AF,BF分别与抛物线交于点M,N .

(Ⅰ)求的值;

(Ⅱ)记直线MN的斜率为,直线AB的斜率为 证明:为定值

练习册系列答案
相关习题

科目:高中数学 来源:2015-2016学年广东广州执信中学高一上学期期中数学试卷(解析版) 题型:选择题

德国著名数学家狄利克雷在数学领域成就显著,以其名命名的函数被称为狄利克雷函数,其中为实数集,为有理数集,则关于函数有如下四个结论:

②函数是偶函数;

③任取一个不为零的有理数对任意的恒成立;

④存在三个点,使得为等边三角形.

其中正确结论的个数是( )

A. B. C. D.

查看答案和解析>>

科目:高中数学 来源:2015-2016学年重庆市高一上学期期中数学试卷(解析版) 题型:选择题

对于任意的,以下不等式一定不成立的是( )

A、 B、

C、 D、

查看答案和解析>>

科目:高中数学 来源:2015-2016学年吉林长春十一中高一上学期期中文科数学卷(解析版) 题型:选择题

在直角坐标系中,一动点从点出发,沿单位圆(圆心在坐标原点半径为1的圆)圆周按逆时针方向运动弧长,到达点,则点的坐标为 ( )

A. B. C. D.

查看答案和解析>>

科目:高中数学 来源:2015-2016学年黑龙江哈尔滨师大附中高二上期中文数学卷(解析版) 题型:解答题

直线经过椭圆的右焦点,与椭圆交于两点,且,求直线的方程.

查看答案和解析>>

科目:高中数学 来源:2015-2016学年黑龙江哈尔滨师大附中高二上期中理数学卷(解析版) 题型:选择题

焦点在轴上的椭圆的焦距为,则长轴长是( )

A. B. C. D.

查看答案和解析>>

科目:高中数学 来源:2015-2016学年河北石家庄二中高一上学期期中数学试卷(解析版) 题型:填空题

作出下列函数的图象,并回答问题。(不用列表,不用叙述作图过程,但要标明必要的点或线)

(1)

(2)

(Ⅰ)写出函数的单调区间及其单调性

(Ⅱ)若方程有两个不同实数解,则的取值范围是

查看答案和解析>>

科目:高中数学 来源:2015-2016学年江苏省高邮市高一上学期期中调研数学试卷(解析版) 题型:填空题

已知f(x)=mx2-2nx是定义在[m-1,n+2]上的偶函数,那么m+n的值是

查看答案和解析>>

科目:高中数学 来源:2015-2016学年浙江省温州市十校联合体高一上学期期中考试数学试卷(解析版) 题型:解答题

不用计算器求下列各式的值:

(1)

(2)

查看答案和解析>>

同步练习册答案