精英家教网 > 高中数学 > 题目详情

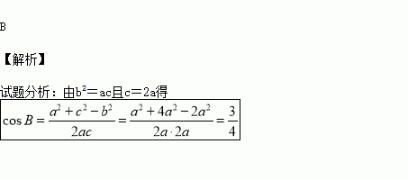
在△ABC中,已知b2=ac且c=2a,则cos B等于( )

A. B. C. D.

练习册系列答案
相关习题

科目:高中数学 来源:2015-2016学年江西省宜春市高二下第一次月考理科数学试卷(解析版) 题型:选择题

用数学归纳法证明,从时,左端需增乘的代数式为( )

A. B. C. D.

查看答案和解析>>

科目:高中数学 来源:2015-2016学年江西省高二下学期第一次月考理科数学试卷(解析版) 题型:选择题

函数在区间(1,+∞)内是增函数,则实数的取值范围是( )

A.,+∞) B.,+∞) C.(-3,+∞) D.(-∞,-3)

查看答案和解析>>

科目:高中数学 来源:2015-2016学年湖北省孝感六校联盟高一下学期期中考试文科数学卷(解析版) 题型:填空题

在锐角△中,,则=

查看答案和解析>>

科目:高中数学 来源:2015-2016学年湖北省孝感六校联盟高一下学期期中考试文科数学卷(解析版) 题型:选择题

已知等差数列的前项和为取得最大值时的值为( )

A. B. C. D.

查看答案和解析>>

科目:高中数学 来源:2015-2016学年上海市高一下学期第一次月考数学试卷(解析版) 题型:解答题

如图,在四边形ABCD中,已知,AD=10,AB=14,∠BDA=60o,∠BCD=135 o,求边BC的长。

查看答案和解析>>

科目:高中数学 来源:2015-2016学年上海市高一下学期第一次月考数学试卷(解析版) 题型:填空题

在△ABC中,A,B,C分别为a,b,c三条边的对角,如果b=2a,B=A+60o,那么∠A=

查看答案和解析>>

科目:高中数学 来源:2015-2016学年江西省高二3月月考理科数学试卷(解析版) 题型:填空题

设点P在曲线上,点Q在曲线上,则|PQ|最小值为________

查看答案和解析>>

科目:高中数学 来源:2015-2016学年江西省赣州市十三县高二下学期期中理科数学试卷(解析版) 题型:解答题

如图,为矩形,为梯形,平面平面.

(Ⅰ)若中点,求证:∥平面

(Ⅱ)求平面所成锐二面角的大小.

查看答案和解析>>

同步练习册答案