精英家教网 > 高中数学 > 题目详情

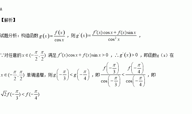
已知函数对任意的满足 (其中是函数 的导函数),则下列不等式成立的是

A. B.

C. D.

练习册系列答案
相关习题

科目:高中数学 来源:2015-2016学年新疆兵团农二师华山中学高二下学前考试理科数学试卷(解析版) 题型:填空题

,当时,恒成立,则实数的取值范围为 .

查看答案和解析>>

科目:高中数学 来源:2015-2016学年福建省晋江市高二上学期期末文科数学试卷(解析版) 题型:解答题

已知首项为的等比数列是递减数列,且成等差数列;数列{}的前n项和为,且

(Ⅰ)求数列,{}的通项公式;

(Ⅱ)已知,求数列{}的前n项和

查看答案和解析>>

科目:高中数学 来源:2015-2016学年福建省晋江市高二上学期期末文科数学试卷(解析版) 题型:选择题

”是“”的( )条件

A.充分而不必要 B.必要而不充分 C. 充分必要 D. 既不充分也不必要

查看答案和解析>>

科目:高中数学 来源:2015-2016学年福建省晋江市高二上学期期末理科数学试卷(解析版) 题型:解答题

斜率为的直线经过抛物线的焦点,且与抛物线相交于两点,求线段的长.

查看答案和解析>>

科目:高中数学 来源:2015-2016学年福建省晋江市高二上学期期末理科数学试卷(解析版) 题型:选择题

已知椭圆的左、右焦点分别为,点在椭圆上,若是一个直角三角形的三个顶点,则点轴的距离为( )

A. B. C. D.

查看答案和解析>>

科目:高中数学 来源:2015-2016学年辽宁省庄河市高一上学期期末考试数学试卷(解析版) 题型:解答题

已知函数是奇函数,是偶函数。

(1)求的值。

(2)若对任意的,不等式恒成立,求实数k的取值范围.

(3)设,若存在,使不等式成立,求实数的取值范围。

查看答案和解析>>

科目:高中数学 来源:2015-2016学年辽宁省庄河市高一上学期期末考试数学试卷(解析版) 题型:选择题

是两个不同的平面,是两条不同的直线,且( )

A.若,则 B.若,则

C.若,则 D.若,则

查看答案和解析>>

科目:高中数学 来源:2016年全国普通高等学校招生统一考试文科数学(全国2卷参考版) 题型:选择题

某路口人行横道的信号灯为红灯和绿灯交替出现,红灯持续时间为40秒.若一名行人来到该路口遇到红灯,则至少需要等待15秒才出现绿灯的概率为( )

(A) (B) (C) (D)

查看答案和解析>>

同步练习册答案