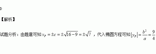
精英家教网 > 高中数学 > 题目详情

已知椭圆的左、右焦点分别为,点在椭圆上,若是一个直角三角形的三个顶点,则点轴的距离为( )

A. B. C. D.

练习册系列答案
相关习题

科目:高中数学 来源:2015-2016学年新疆兵团农二师华山中学高二下学前考试理科数学试卷(解析版) 题型:选择题

已知函数f(x)=,若,则( )

A. B. C. D.

查看答案和解析>>

科目:高中数学 来源:2015-2016学年福建省晋江市高二上学期期末文科数学试卷(解析版) 题型:填空题

若变量满足约束条件的最大值为,最小值为,则的值是

查看答案和解析>>

科目:高中数学 来源:2015-2016学年福建省晋江市高二上学期期末理科数学试卷(解析版) 题型:解答题

已知函数,在时有极大值;

(Ⅰ)求的值;

(Ⅱ)求函数上的最值.

查看答案和解析>>

科目:高中数学 来源:2015-2016学年福建省晋江市高二上学期期末理科数学试卷(解析版) 题型:选择题

已知函数对任意的满足 (其中是函数 的导函数),则下列不等式成立的是

A. B.

C. D.

查看答案和解析>>

科目:高中数学 来源:2015-2016学年福建省晋江市高二上学期期末理科数学试卷(解析版) 题型:选择题

下列结论中正确的是( )

A.当时, B.当时,

C.当时,的最小值是2 D.当时, 无最大值

查看答案和解析>>

科目:高中数学 来源:2015-2016学年辽宁省庄河市高一上学期期末考试数学试卷(解析版) 题型:解答题

求实数m的取值范围,使关于的方程

(1)有两个正实数根;

(2)有两个实数根,且一个比2大,一个比2小。

查看答案和解析>>

科目:高中数学 来源:2016年全国普通高等学校招生统一考试理科数学(北京卷参考版) 题型:解答题

设数列A: ,… ().如果对小于()的每个正整数都有 ,则称是数列A的一个“G时刻”.记“是数列A的所有“G时刻”组成的集合.

(1)对数列A:-2,2,-1,1,3,写出的所有元素;

(2)证明:若数列A中存在使得>,则

(3)证明:若数列A满足- ≤1(n=2,3, …,N),则的元素个数不小于 -.

查看答案和解析>>

科目:高中数学 来源:2016年全国普通高等学校招生统一考试文科数学(全国2卷参考版) 题型:选择题

函数的部分图像如图所示,则( )

(A) (B)

(C) (D)

查看答案和解析>>

同步练习册答案