精英家教网 > 高中数学 > 题目详情

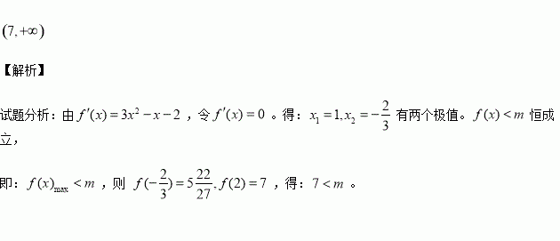
,当时,恒成立,则实数的取值范围为 .

练习册系列答案
相关习题

科目:高中数学 来源:2015-2016学年重庆巴蜀中学高二下期中理科数学试卷(解析版) 题型:解答题

已知焦点在轴上的椭圆,离心率为,且过点,不过椭圆顶点的动直线与椭圆交于两点,求:

(1)椭圆的标准方程;

(2)求三角形面积的最大值,并求取得最值时直线的斜率之积.

查看答案和解析>>

科目:高中数学 来源:2015-2016学年福建上杭一中高二下培优补差理科数学试卷(解析版) 题型:选择题

已知某一随机变量的概率分布列如下表,,则值为( )

A.5 B. 6 C. 7 D.8

查看答案和解析>>

科目:高中数学 来源:2015-2016学年湖北省高一下期中数学试卷(解析版) 题型:选择题

对任意实数,不等式恒成立,则实数的取值范围是( )

A.-24<k<0 B.-24<k≤0 C.0<k≤24 D.k≥24

查看答案和解析>>

科目:高中数学 来源:2015-2016学年新疆兵团农二师华山中学高二下学前考试理科数学试卷(解析版) 题型:解答题

已知

(1)求的单调递增区间;

(2)若函数上只有一个零点,求实数的取值范围.

查看答案和解析>>

科目:高中数学 来源:2015-2016学年新疆兵团农二师华山中学高二下学前考试理科数学试卷(解析版) 题型:选择题

已知函数f(x)=,若,则( )

A. B. C. D.

查看答案和解析>>

科目:高中数学 来源:2015-2016学年新疆兵团农二师华山中学高二下学前考试理科数学试卷(解析版) 题型:选择题

抛物线的准线方程为( )

A. B. C. D.

查看答案和解析>>

科目:高中数学 来源:2015-2016学年山东省淄博市高二4月月考文科数学试卷(解析版) 题型:选择题

函数的图象是()

查看答案和解析>>

科目:高中数学 来源:2015-2016学年福建省晋江市高二上学期期末理科数学试卷(解析版) 题型:选择题

已知函数对任意的满足 (其中是函数 的导函数),则下列不等式成立的是

A. B.

C. D.

查看答案和解析>>

同步练习册答案