精英家教网 > 高中数学 > 题目详情

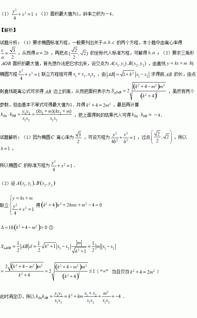
已知焦点在轴上的椭圆,离心率为,且过点,不过椭圆顶点的动直线与椭圆交于两点,求:

(1)椭圆的标准方程;

(2)求三角形面积的最大值,并求取得最值时直线的斜率之积.

练习册系列答案
相关习题

科目:高中数学 来源:2015-2016学年广东省高一下期中数学试卷(解析版) 题型:解答题

某国际化妆品生产企业为了占有更多的市场份额,拟在2016年巴西奥运会期间进行一系列促销活动,经过市场调查和测算,化妆品的年销量万件与年促销费万元之间满足成反比例,如果不搞促销活动,化妆品的年销量只能是1万件,已知2016年生产化妆品的设备折旧,维修等固定费用为3万元,每生产1万件化妆品需再投入32万元的生产费用,若将每件化妆品的售价定为其生产成本的150%与平均每件促销费的一半的和,则当年生产的化妆品正好能销完。

(1) 将2016年的利润(万元)表示为促销费万元的函数.

(2) 该企业2016年的促销费投入多少时,企业的年利润最大?

(注:利润=销售收入-生产成本-促销费,生产成本=固定费用+生产费用)

查看答案和解析>>

科目:高中数学 来源:2015-2016学年重庆一中高一下学期期中数学试卷(解析版) 题型:选择题

甲、乙两名同学八次数学测试成绩如茎叶图所示,则甲同学成绩的众数与乙同学成绩的中位数依次为( )

A.85,86 B.85,85, C.86,85 D.86,86

查看答案和解析>>

科目:高中数学 来源:2015-2016学年重庆巴蜀中学高二下期中文科数学试卷(解析版) 题型:选择题

设曲线的参数方程为为参数),直线的方程为,则曲线上到直线为距离为的点的个数为( )

A. B. C. D.

查看答案和解析>>

科目:高中数学 来源:2015-2016学年重庆巴蜀中学高二下期中文科数学试卷(解析版) 题型:选择题

命题“为常数)”的否定是( )

A.为常数) B.为常数)

C.为常数) D.为常数)

查看答案和解析>>

科目:高中数学 来源:2015-2016学年重庆巴蜀中学高二下期中理科数学试卷(解析版) 题型:填空题

已知函数在定义域内单调递增,则的取值范围为

查看答案和解析>>

科目:高中数学 来源:2015-2016学年重庆巴蜀中学高二下期中理科数学试卷(解析版) 题型:选择题

已知函数,则过点可以作出( )条图象的切线

A. B. C. D.

查看答案和解析>>

科目:高中数学 来源:2015-2016学年福建上杭一中高二下培优补差理科数学试卷(解析版) 题型:填空题

.

查看答案和解析>>

科目:高中数学 来源:2015-2016学年新疆兵团农二师华山中学高二下学前考试理科数学试卷(解析版) 题型:填空题

,当时,恒成立,则实数的取值范围为 .

查看答案和解析>>

同步练习册答案