精英家教网 > 高中数学 > 题目详情

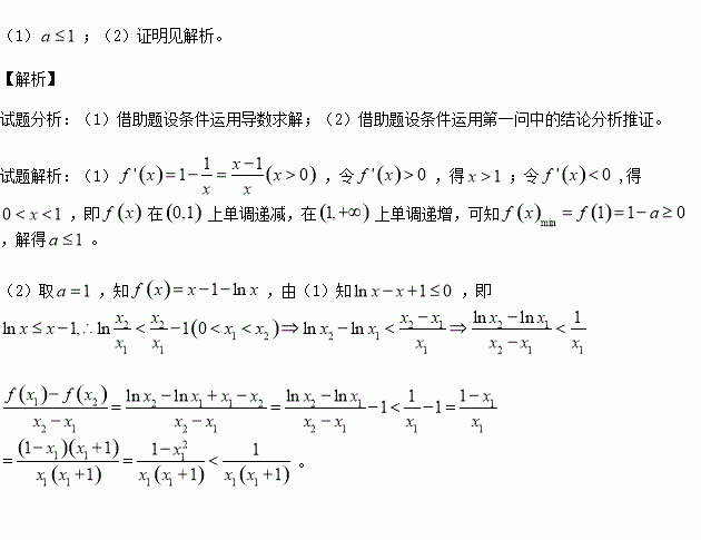
已知函数

(1)若恒成立,求实数取值范围;

(2)证明:若,则

练习册系列答案
相关习题

科目:高中数学 来源:2016届陕西省高三下学期教学质检二数学(文)试卷(解析版) 题型:解答题

四棱锥中,底面为矩形,底面分别为的中点。

(Ⅰ)求证:平面

(Ⅱ)设,求三棱锥的体积。

查看答案和解析>>

科目:高中数学 来源:2016届陕西省高三下学期教学质检二数学(理)试卷(解析版) 题型:选择题

已知命题,则( )

A.

B.

C.

D.

查看答案和解析>>

科目:高中数学 来源:2016届陕西省高三高考全真模拟四数学(文)试卷(解析版) 题型:选择题

函数的零点所在的区间都是( )

A.

B.

C.

D.

查看答案和解析>>

科目:高中数学 来源:2016届陕西省高三高考全真模拟四数学(文)试卷(解析版) 题型:选择题

若复数(i为虚数单位,)是纯虚数,则( )

A. B. C. D.

查看答案和解析>>

科目:高中数学 来源:2016届陕西省高三高考全真模拟四数学(理)试卷(解析版) 题型:填空题

中,是外接圆的圆心,若,则周长的最大值

查看答案和解析>>

科目:高中数学 来源:2016届陕西省高三高考全真模拟四数学(理)试卷(解析版) 题型:选择题

如下图,若在矩形中随机撒一粒豆子,则豆子落在图中阴影部分的概率为( )

A. B. C. D.

查看答案和解析>>

科目:高中数学 来源:2016年内蒙古包头市高三学业水平测试与评估(二)数学理试卷(解析版) 题型:填空题

已知椭圆的中心为原点,的焦点,过的直线相交于两点,且中点为,则的离心率

查看答案和解析>>

科目:高中数学 来源:2015-2016学年广东省等校高一下期末数学试卷(解析版) 题型:解答题

已知数列的前项和为,对一切正整数,点都在函数的图象上,记的等差中项为

(Ⅰ)求数列的通项公式;

(Ⅱ)若,求数列的前项和

(Ⅲ)设集合,等差数列的任意一项,其中中的最小数,且,求的通项公式。

查看答案和解析>>

同步练习册答案