精英家教网 > 高中数学 > 题目详情

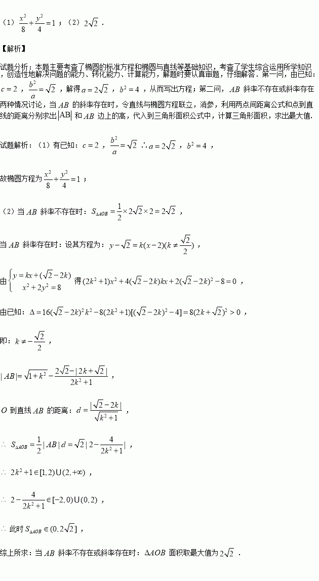
已知椭圆(a>b>0)的左、右焦点为F1、F2,点A在椭圆上,且与x轴垂直.

(1)求椭圆的方程;

(2)过A作直线与椭圆交于另外一点B,求△AOB面积的最大值.

练习册系列答案
相关习题

科目:高中数学 来源:2016届上海市高三第一次月考数学试卷(解析版) 题型:填空题

函数的最小正周期为_______________.

查看答案和解析>>

科目:高中数学 来源:2016-2017学年山东淄博六中高二上自主训练一数学试卷(解析版) 题型:选择题

已知在中,角所对的边分别为,若,则( )

A. B. C. D.2

查看答案和解析>>

科目:高中数学 来源:2015-2016学年福建师大附中高二下期末数学(理)试卷(解析版) 题型:选择题

对任意实数恒成立,则实数的取值范围为( )

A. B. C. D.

查看答案和解析>>

科目:高中数学 来源:2015-2016学年福建师大附中高二下期末数学(理)试卷(解析版) 题型:选择题

已知随机变量服从正态分布,且,则( )

A. B. C. D.

查看答案和解析>>

科目:高中数学 来源:2017届新疆兵团农二师华山中学高三上学前考数学理试卷(解析版) 题型:填空题

ABC的内角A,B,C所对的边分别为a,b,c,且a,b,c成等比数列,若sinB=,cosB=,则a+c的值为

查看答案和解析>>

科目:高中数学 来源:2017届新疆兵团农二师华山中学高三上学前考数学理试卷(解析版) 题型:选择题

函数图象的一条对称轴为( )

A. B. C. D.

查看答案和解析>>

科目:高中数学 来源:2017届湖北襄阳四中高三七月周考二数学(理)试卷(解析版) 题型:填空题

_________.

查看答案和解析>>

科目:高中数学 来源:2016届云南昆明一中高三仿真模拟七数学(理)试卷(解析版) 题型:选择题

已知方程的两根分别为,且,则( )

A. B. C.或2 D.

查看答案和解析>>

同步练习册答案