精英家教网 > 高中数学 > 题目详情

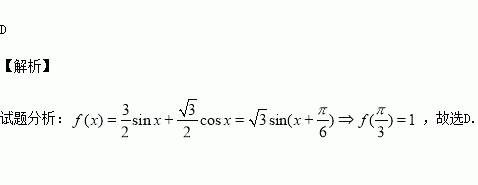
函数图象的一条对称轴为( )

A. B. C. D.

练习册系列答案
相关习题

科目:高中数学 来源:2016届陕西西北工业大学附中高三二模数学(文)试卷(解析版) 题型:填空题

已知点与点在直线的两侧,给出下列说法:

;②当时,有最小值,无最大值;③;④当时,的取值范围是.其中所有正确说法的序号是__________.

查看答案和解析>>

科目:高中数学 来源:2015-2016学年福建师大附中高二下期末数学(理)试卷(解析版) 题型:填空题

已知随机变量的分布列如下表,且,则的值为 .

0

1

2

查看答案和解析>>

科目:高中数学 来源:2017届新疆兵团农二师华山中学高三上学前考数学理试卷(解析版) 题型:解答题

已知椭圆(a>b>0)的左、右焦点为F1、F2,点A在椭圆上,且与x轴垂直.

(1)求椭圆的方程;

(2)过A作直线与椭圆交于另外一点B,求△AOB面积的最大值.

查看答案和解析>>

科目:高中数学 来源:2017届新疆兵团农二师华山中学高三上学前考数学理试卷(解析版) 题型:填空题

向量满足,则向量的夹角为

查看答案和解析>>

科目:高中数学 来源:2017届新疆兵团农二师华山中学高三上学前考数学理试卷(解析版) 题型:选择题

到抛物线准线的距离为2,则a的值为( )

A. B.

C. D.

查看答案和解析>>

科目:高中数学 来源:2017届湖北襄阳四中高三七月周考二数学(理)试卷(解析版) 题型:解答题

函数其图像与轴交于两点,且.

(1)求的取值范围;

(2)证明:;(的导函数;)

(3)设点C在函数图像上,且△ABC为等腰直角三角形,记的值.

查看答案和解析>>

科目:高中数学 来源:2017届湖北襄阳四中高三七月周考二数学(理)试卷(解析版) 题型:选择题

已知甲、乙两组数据如茎叶图所示,若它们的中位数相同,平均数也相同,则图中的m,n的比值=( )

A.1 B. C. D.

查看答案和解析>>

科目:高中数学 来源:2016届宁夏高三五模考试数学(文)试卷(解析版) 题型:解答题

已知椭圆点,且与双曲线有相同的焦点.

(1)求椭圆的标准方程;

(2)设点在椭圆的长轴上,点是椭圆上任意一点,当最小时,点恰好落在椭圆的右顶点,求实数的取值范围.

查看答案和解析>>

同步练习册答案