精英家教网 > 高中数学 > 题目详情

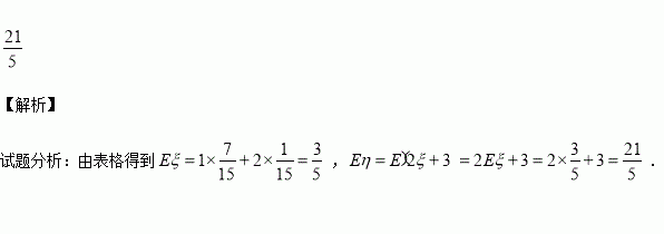
已知随机变量的分布列如下表,且,则的值为 .

0

1

2

练习册系列答案
相关习题

科目:高中数学 来源:2016届上海市高三第一次月考数学试卷(解析版) 题型:解答题

在平面直角坐标系中,已知椭圆,设是椭圆上任一点,从原点向圆作两条切线,切点分别为

(1)若直线互相垂直,且点在第一象限内,求点的坐标;

(2)若直线的斜率都存在,并记为,求证:

查看答案和解析>>

科目:高中数学 来源:2016届陕西西北工业大学附中高三二模数学(文)试卷(解析版) 题型:选择题

下列命题中,假命题是( )

A.“是函数的一个周期”或“是函数的一个周期”

B.“”是“函数不存在零点”的充分不必要条件

C.“若,则”的否命题

D.“任意,函数在定义域内单调递增”的否定

查看答案和解析>>

科目:高中数学 来源:2016-2017学年山东淄博六中高二上自主训练一数学试卷(解析版) 题型:选择题

已知在中,角所对的边分别为,若,则( )

A. B. C. D.2

查看答案和解析>>

科目:高中数学 来源:2016-2017学年山东淄博六中高二上自主训练一数学试卷(解析版) 题型:选择题

已知半径为2,弧长为的扇形的圆心角为,则等于( )

A. B. C. D.

查看答案和解析>>

科目:高中数学 来源:2015-2016学年福建师大附中高二下期末数学(理)试卷(解析版) 题型:选择题

对任意实数恒成立,则实数的取值范围为( )

A. B. C. D.

查看答案和解析>>

科目:高中数学 来源:2015-2016学年福建师大附中高二下期末数学(理)试卷(解析版) 题型:选择题

已知随机变量服从正态分布,且,则( )

A. B. C. D.

查看答案和解析>>

科目:高中数学 来源:2017届新疆兵团农二师华山中学高三上学前考数学理试卷(解析版) 题型:选择题

函数图象的一条对称轴为( )

A. B. C. D.

查看答案和解析>>

科目:高中数学 来源:2017届河北定州中学高三上学期周练7.8数学试卷(解析版) 题型:选择题

已知O为坐标原点,双曲线)的左焦点为),以OF为直径的圆交双曲线C的渐近线于A,B,O三点,且.关于的方程的两个实数根分别为,则以为边长的三角形的形状是( )

A.钝角三角形 B.直角三角形

C. 锐角三角形 D.等腰直角三角形

查看答案和解析>>

同步练习册答案