精英家教网 > 高中数学 > 题目详情

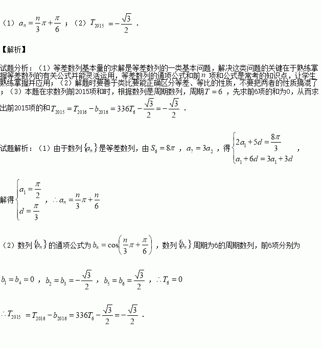
(本小题满分10分)已知是等差数列的前项和,且

(1)求数列的通项公式;

(2)设是数列的前项和,求的值.

练习册系列答案
相关习题

科目:高中数学 来源:2015-2016学年内蒙古赤峰平煤高中高二上学期月考数学试卷(解析版) 题型:选择题

某大学数学系共有本科生1 000人,其中一、二、三、四年级的人数比为4∶3∶2∶1,要用分层抽样的方法从所有本科生中抽取一个容量为200的样本,则应抽取三年级的学生人数为( )

A.80 B.40 C.60 D.20

查看答案和解析>>

科目:高中数学 来源:2015-2016学年江西省南昌市高二10月月考数学试卷(解析版) 题型:选择题

直线截圆所得的两段弧长之差的绝对值是( )

A. B. C. D.

查看答案和解析>>

科目:高中数学 来源:2016届山东省高三第二次诊断性考试文科数学试卷(解析版) 题型:解答题

(本小题满分12分)

已知

(Ⅰ)求函数的单调区间;

(Ⅱ)对一切的时,恒成立,求实数的取值范围.

查看答案和解析>>

科目:高中数学 来源:2016届山东省高三第二次诊断性考试理科数学试卷(解析版) 题型:填空题

若函数的最大值为4,最小值为,则实数的值为

查看答案和解析>>

科目:高中数学 来源:2016届河南省原名校高三上学期第一次联考文科数学试卷(解析版) 题型:选择题

已知函数,若,则实数等于( )

A. B. C. D.

查看答案和解析>>

科目:高中数学 来源:2015-2016学年浙江省宁波市高一上期中数学试卷(解析版) 题型:选择题

下列各组函数中,表示同一函数的是( )

A. B.

C. D.

查看答案和解析>>

科目:高中数学 来源:2015-2016学年辽宁省大连市高二10月月考数学试卷(解析版) 题型:选择题

已知长方形中,的中点,则在此长方形内随机取一点的距离小于的概率为 ( )

A. B. C. D.

查看答案和解析>>

科目:高中数学 来源:2014-2015学年浙江省等三校高二上学期期中考试数学试卷(解析版) 题型:填空题

首项为-24的等差数列,从第10项起开始为正数,则公差d的取值范围是________.

查看答案和解析>>

同步练习册答案