精英家教网 > 高中数学 > 题目详情
已知函数f(x)=(a+1)lnx+ax2+1,
(Ⅰ)讨论函数f(x)的单调性;
(Ⅱ)设a<-1,如果对任意x1,x2∈(0,+∞),|f(x1)-f(x2)|≥4|x1-x2|,求a的取值范围。
解:(Ⅰ)f(x)的定义域为(0,+∞),
当a≥0时,f′(x)>0,故f(x)在(0,+∞)单调增加;
当a≤-1时,f′(x)<0,故f(x)在(0,+∞)单调减少;
当-1<a<0时,令f′(x)=0,解得
则当x∈时,f′(x)>0;x∈时,f′(x)<0,
故f(x)在单调增加,在单调减少.
(Ⅱ)不妨假设x1≥x2,而a<-1,
由(Ⅰ)知f(x)在(0,+∞)单调减少,从而
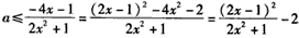
等价于,①
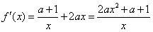
令g(x)=f(x)+4x,则
①等价于g(x)在(0,+∞)单调减少,即
从而
故a的取值范围为(-∞,-2]。
练习册系列答案
相关习题

科目:高中数学 来源: 题型:

已知函数f(x)=
3x+5,(x≤0)
x+5,(0<x≤1)
-2x+8,(x>1)

求(1)f(
1
π
),f[f(-1)]
的值;
(2)若f(a)>2,则a的取值范围.

查看答案和解析>>

科目:高中数学 来源: 题型:

精英家教网已知函数f(x)=
(1-3a)x+10ax≤7
ax-7x>7.
是定义域上的递减函数,则实数a的取值范围是(  )
A、(
1
3
,1)
B、(
1
3
1
2
]
C、(
1
3
6
11
]
D、[
6
11
,1

查看答案和解析>>

科目:高中数学 来源: 题型:

已知函数f(x)=
|x-1|-a
1-x2
是奇函数.则实数a的值为
 

查看答案和解析>>

科目:高中数学 来源: 题型:

已知函数f(x)=
2x-2-x2x+2-x

(1)求f(x)的定义域与值域;
(2)判断f(x)的奇偶性并证明;
(3)研究f(x)的单调性.

查看答案和解析>>

科目:高中数学 来源: 题型:

已知函数f(x)=
x-1x+a
+ln(x+1)
,其中实数a≠1.
(1)若a=2,求曲线y=f(x)在点(0,f(0))处的切线方程;
(2)若f(x)在x=1处取得极值,试讨论f(x)的单调性.

查看答案和解析>>

同步练习册答案