精英家教网 > 高中数学 > 题目详情

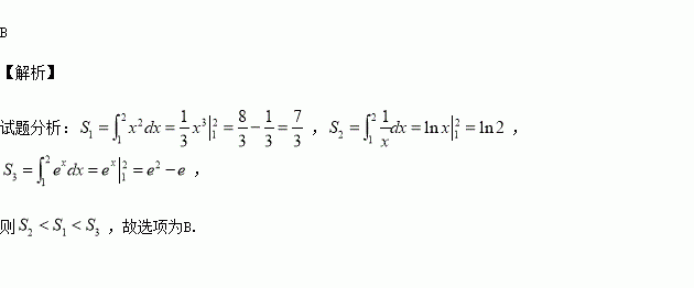
,,,则的大小关系为( )

A. B. C. D.

练习册系列答案
相关习题

科目:高中数学 来源:2015-2016学年广东实验中学等高二下期末文科数学试卷(解析版) 题型:填空题

已知f(x)=ax3+x2在x=1处的切线方程与直线y=x﹣2平行,则y=f(x)的解析式为

查看答案和解析>>

科目:高中数学 来源:2016届山东省济宁市高三下第三次模拟文科数学试卷(解析版) 题型:解答题

已知数列满足:.

(1)求数列的通项公式;

(2)设为数列的前项和,若对于任意的正整数恒成立,求及实数的取值范围.

查看答案和解析>>

科目:高中数学 来源:2016届山东省济宁市高三下第三次模拟文科数学试卷(解析版) 题型:选择题

已知为虚数单位,复数的共轭复数为,则的虚部为( )

A. B. C. D.

查看答案和解析>>

科目:高中数学 来源:2015-2016学年吉林省高二下期末理科数学卷(解析版) 题型:填空题

已知,则的值为 .

查看答案和解析>>

科目:高中数学 来源:2015-2016学年吉林省高二下期末理科数学卷(解析版) 题型:选择题

设随机变量服从正态分布,若,则=( )

A. B. C. D.

查看答案和解析>>

科目:高中数学 来源:2015-2016学年山西省高二下期末文科数学试卷(解析版) 题型:解答题

已知函数,(为实数),

(1)若,且函数的值域为,求的解析式;

(2)在(1)的条件下,当时,是单调函数,求实数的取值范围.

查看答案和解析>>

科目:高中数学 来源:2015-2016学年山西省高二下期末文科数学试卷(解析版) 题型:选择题

,则( )

A. B. C. D.

查看答案和解析>>

科目:高中数学 来源:2016届天津市和平区高三第四次模拟理科数学试卷(解析版) 题型:填空题

中,内角所对的边分别为.若的面积为,则的值为______.

查看答案和解析>>

同步练习册答案