精英家教网 > 高中数学 > 题目详情
已知函数f(x)=x2-alnx(a∈R),
(Ⅰ)若a=2,求证:f(x)在(1,+∞)上是增函数;
(Ⅱ)求f(x)在[1,e]上的最小值.
(Ⅰ)证明:当a=2时,
当x∈(1,+∞)时,
所以f(x)在(1,+∞)上是增函数.
(Ⅱ)解:
当x∈[1,e],
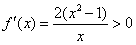
若a≤2,则当x∈[1,e]时,f′(x)≥0,
所以f(x)在[1,e]上是增函数,
又f(1)=1,故函数f(x)在[1,e]上的最小值为1;
,则当x∈[1,e]时,f′(x)≤0,
所以f(x)在[1,e]上是减函数,
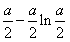
又f(e)=,所以f(x)在[1,e]上的最小值为
,则当时,f′(x)<0,此时f(x)是减函数;
时,f′(x)>0,此时f(x)是增函数;
,所以f(x)在[1,e]上的最小值为
综上可知,当a≤2时,f(x)在[1,e]上的最小值为1;
时,f(x)在[1,e]上的最小值为
时,f(x)在[1,e]上的最小值为
练习册系列答案
相关习题

科目:高中数学 来源: 题型:

已知函数f(x)=x-2m2+m+3(m∈Z)为偶函数,且f(3)<f(5).
(1)求m的值,并确定f(x)的解析式;
(2)若g(x)=loga[f(x)-ax](a>0且a≠1),是否存在实数a,使g(x)在区间[2,3]上的最大值为2,若存在,请求出a的值,若不存在,请说明理由.

查看答案和解析>>

科目:高中数学 来源: 题型:

(2011•上海模拟)已知函数f(x)=(
x
a
-1)2+(
b
x
-1)2,x∈(0,+∞)
,其中0<a<b.
(1)当a=1,b=2时,求f(x)的最小值;
(2)若f(a)≥2m-1对任意0<a<b恒成立,求实数m的取值范围;
(3)设k、c>0,当a=k2,b=(k+c)2时,记f(x)=f1(x);当a=(k+c)2,b=(k+2c)2时,记f(x)=f2(x).
求证:f1(x)+f2(x)>
4c2
k(k+c)

查看答案和解析>>

科目:高中数学 来源:浙江省东阳中学高三10月阶段性考试数学理科试题 题型:022

已知函数f(x)的图像在[a,b]上连续不断,f1(x)=min{f(t)|a≤t≤x}(x∈[a,b]),f2(x)=max{f(t)|a≤t≤x}(x∈[a,b]),其中,min{f(x)|x∈D}表示函数f(x)在D上的最小值,max{f(x)|x∈D}表示函数f(x)在D上的最大值,若存在最小正整数k,使得f2(x)-f1(x)≤k(x-a)对任意的x∈[a,b]成立,则称函数f(x)为[a,b]上的“k阶收缩函数”.已知函数f(x)=x2,x∈[-1,4]为[-1,4]上的“k阶收缩函数”,则k的值是_________.

查看答案和解析>>

科目:高中数学 来源:上海模拟 题型:解答题

已知函数f(x)=(
x
a
-1)2+(
b
x
-1)2,x∈(0,+∞)
,其中0<a<b.
(1)当a=1,b=2时,求f(x)的最小值;
(2)若f(a)≥2m-1对任意0<a<b恒成立,求实数m的取值范围;
(3)设k、c>0,当a=k2,b=(k+c)2时,记f(x)=f1(x);当a=(k+c)2,b=(k+2c)2时,记f(x)=f2(x).
求证:f1(x)+f2(x)>
4c2
k(k+c)

查看答案和解析>>

科目:高中数学 来源:2009-2010学年河南省许昌市长葛三高高三第七次考试数学试卷(理科)(解析版) 题型:选择题

已知函数f(x)、g(x),下列说法正确的是( )
A.f(x)是奇函数,g(x)是奇函数,则f(x)+g(x)是奇函数
B.f(x)是偶函数,g(x)是偶函数,则f(x)+g(x)是偶函数
C.f(x)是奇函数,g(x)是偶函数,则f(x)+g(x)一定是奇函数或偶函数
D.f(x)是奇函数,g(x)是偶函数,则f(x)+g(x)可以是奇函数或偶函数

查看答案和解析>>

同步练习册答案