精英家教网 > 高中数学 > 题目详情
已知四棱锥P-ABCD中,PA⊥平面ABCD,且PA=4PQ=4,底面为直角梯形,∠CDA=∠BAD=90°,AB=2,CD=1,AD=,M,N分别是PD,PB的中点,
(1)求证:MQ∥平面PCB;
(2)求截面MCN与底面ABCD所成二面角的大小;
(3)求点A到平面MCN的距离。
解:以A为原点,以AD,AB,AP分别为x,y,z建立空间直角坐标系O-xyz,
,PA=4PQ=4,M,N分别是PD,PB的中点,
可得:


设平面的PBC的法向量为
则有:
令z=1,则

平面PCB,
∴MQ∥平面PCB。
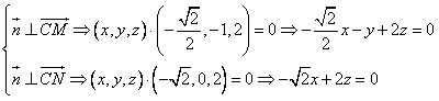
(2)设平面的MCN的法向量为

则有:
令z=1,则
为平面ABCD的法向量,

又截面MCN与底面ABCD所成二面角为锐二面角,
∴截面MCN与底面ABCD所成二面角的大小为
(3)∵
∴所求的距离
练习册系列答案
相关习题

科目:高中数学 来源: 题型:

精英家教网如图,已知四棱锥P--ABC的底面ABCD为正方形,PA⊥平面ABCD,PA=AB=2,e为PC的中点,F为AD的中点.
(Ⅰ)证明EF∥平面PAB;
(Ⅱ)证明EF⊥平面PBC;
(III)点M是四边形ABCD内的一动点,PM与平面ABCD所成的角始终为45°,求动直线PM所形成的曲面与平面ABCD、平面PAB、平面PAD所围成几何体的体积.

查看答案和解析>>

科目:高中数学 来源: 题型:

精英家教网如图,已知四棱锥P-ABCD的底面是直角梯形,∠ABC=∠BCD=90°,AB=BC=2CD=2,PB=PC,侧面PBC⊥底面ABCD,O是BC的中点.
(1)求证:PO⊥平面ABCD;
(2)求证:PA⊥BD
(3)若二面角D-PA-O的余弦值为
10
5
,求PB的长.

查看答案和解析>>

科目:高中数学 来源: 题型:

已知四棱锥P-ABCD的底面是直角梯形,∠ABC=∠BCD=90°,E为BC中点,AE与BD交于O点,AB=BC=2CD=2,BD⊥PE.
(1)求证:平面PAE⊥平面ABCD; 
(2)若直线PA与平面ABCD所成角的正切值为
5
2
,PO=2,求四棱锥P-ABCD的体积.

查看答案和解析>>

科目:高中数学 来源: 题型:

如图,已知四棱锥P-ABCD中,PA⊥平面ABCD,底面ABCD是直角梯形,∠DAB=∠ABC=90°,E是线段PC上一点,PC⊥平面BDE.
(Ⅰ)求证:BD⊥平面PAB.
(Ⅱ)若PA=4,AB=2,BC=1,求直线AC与平面PCD所成角的正弦值.

查看答案和解析>>

科目:高中数学 来源:2010-2011学年山东省济宁一中高三(上)期末数学试卷(理科)(解析版) 题型:解答题

如图,已知四棱锥P--ABC的底面ABCD为正方形,PA⊥平面ABCD,PA=AB=2,e为PC的中点,F为AD的中点.
(Ⅰ)证明EF∥平面PAB;
(Ⅱ)证明EF⊥平面PBC;
(III)点M是四边形ABCD内的一动点,PM与平面ABCD所成的角始终为45°,求动直线PM所形成的曲面与平面ABCD、平面PAB、平面PAD所围成几何体的体积.

查看答案和解析>>

同步练习册答案