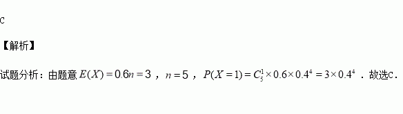
精英家教网 > 高中数学 > 题目详情

若随机变量,且,则的值是( )

A. B. C. D.

练习册系列答案
相关习题

科目:高中数学 来源:2016届江苏省苏州大学高考考前指导卷1数学试卷(解析版) 题型:填空题

若cos(-θ)=,则cos(+θ)-sin2(θ-)=

查看答案和解析>>

科目:高中数学 来源:2015-2016学年河北武邑中学高二下5.8周考文科数学卷(解析版) 题型:填空题

已知,则的最小值为_________.

查看答案和解析>>

科目:高中数学 来源:2015-2016学年河北武邑中学高二下5.8周考理科数学卷(解析版) 题型:填空题

的展开式中的系数为__________.

查看答案和解析>>

科目:高中数学 来源:2015-2016学年河北武邑中学高二下5.8周考理科数学卷(解析版) 题型:选择题

的二项展开式中,的系数为( )

A. B. C. D.

查看答案和解析>>

科目:高中数学 来源:2015-2016学年江西省高一下期中数学试卷(解析版) 题型:解答题

中,角的对边分别为,且

(1)求角B的大小;

(2)若等差数列的公差不为零,且=1,且成等比数列,求的前项和

查看答案和解析>>

科目:高中数学 来源:2015-2016学年江西省高一下期中数学试卷(解析版) 题型:选择题

不等式对于任意恒成立,则实数的取值范围是( )A. B. C. D.

查看答案和解析>>

科目:高中数学 来源:2015-2016学年江西省高二下期中文科数学试卷(解析版) 题型:解答题

已知函数 是偶函数,且上单调递增.

(1)求m的值,并确定的解析式;

(2),求的定义域和值域。

查看答案和解析>>

科目:高中数学 来源:2016届湖南省长沙市高考模拟一理科数学试卷(解析版) 题型:解答题

关于的不等式.

(1)当时,解此不等式;

(2)设函数,当为何值时,恒成立?

查看答案和解析>>

同步练习册答案