£¨10·Ö£©ÌØÕ½¶ÓÔ±´ÓÐüÍ£ÔÚ¿ÕÖÐÀëµØ55m¸ßµÄÖ±Éý»úÉÏÑØÉþÏ»¬½øÐнµÂäѵÁ·£¬Ä³ÌØÕ½¶ÓÔ±ºÍËûЯ´øµÄÎäÆ÷ÖÊÁ¿¹²Îª80kg£¬ÉèÌØÕ½¶ÓÔ±ÓÃÌØÖÆµÄÊÖÌ×ÇáÎÕÉþ×Óʱ¿É»ñµÃ200NµÄĦ²Á×èÁ¦£¬½ôÎÕÉþ×Óʱ¿É»ñµÃ1000NµÄĦ²Á×èÁ¦£¬Ï»¬¹ý³ÌÖÐÌØÕ½¶ÓÔ±ÖÁÉÙÇáÎÕÉþ×Ó²ÅÄÜÈ·±£°²È«£¬£¨£©¡£ÊÔÇó£º

£¨1£©ÌØÕ½¶ÓÔ±ÇáÎÕÉþ×Ó½µÂäʱµÄ¼ÓËٶȵĴóС£»

£¨2£©ÈôÒªÇóÌØÕ½¶ÓÔ±×ŵØÊ±µÄËٶȲ»´óÓÚ5m/s£¬ÔòÌØÕ½¶ÓÔ±ÔÚ¿ÕÖÐÏ»¬µÄ×îÉÙʱ¼äΪ¶àÉÙ£¿

 

¡¾´ð°¸¡¿

£¨1£©£¨2£©6s

¡¾½âÎö¡¿

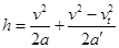
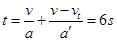
ÊÔÌâ·ÖÎö£º£¨1£©¸ù¾ÝÅ£¶ÙµÚ¶þ¶¨Âɿɵ㺣¨2·Ö£©½âµÃ£º£¨2·Ö£©

£¨2£©ÏÈÇáÎÕÉþ×ÓÏ»¬£¬ÔÙ½ôÎÕÉþ×ÓÒÔ×î´óµÄĦ²Á×èÁ¦×ö¼õËÙÔ˶¯£¬×ŵØÊ±ËÙ¶ÈΪ5m/s¡£ÕâÑùµÄÏ»¬¹ý³ÌËùÐèʱ¼ä×îÉÙ¡£

ÓÐ×î´óµÄĦ²Á×èÁ¦Ê±£º   ËùÒÔ£º£¨2·Ö£©

É裺ÆäÖÐ×î´óËÙ¶ÈΪv£¬ ÓУº£¨2·Ö£©

½âµÃ£º

ËùÒÔ£º£¨2·Ö£©

¿¼µã£º¿¼²éÁËÅ£¶ÙµÚ¶þ¶¨ÂÉ£¬Ä¦²ÁÁ¦£¬Ô˶¯Ñ§¹«Ê½

 

Á·Ï°²áϵÁдð°¸
Ïà¹ØÏ°Ìâ

¿ÆÄ¿£º¸ßÖÐÎïÀí À´Ô´£º ÌâÐÍ£º

ÌØÕ½¶ÓÔ±´ÓÐüÍ£ÔÚ¿ÕÖÐÀëµØ235m¸ßµÄÖ±Éý»úÉÏÑØÉþÏ»¬½øÐнµÂäѵÁ·£¬Ä³ÌØÕ½¶ÓÔ±ºÍËûЯ´øµÄÎäÆ÷ÖÊÁ¿¹²Îª80kg£¬ÉèÌØÕ½¶ÓÔ±ÓÃÌØÖÆµÄÊÖÌ×ÇáÎÕÉþ×Óʱ¿É»ñµÃ200NµÄĦ²Á×èÁ¦£¬½ôÎÕÉþ×Óʱ¿É»ñµÃ1000NµÄĦ²Á×èÁ¦£¬Ï»¬¹ý³ÌÖÐÌØÕ½¶ÓÔ±ÖÁÉÙÇáÎÕÉþ×Ó²ÅÄÜÈ·±£°²È«£®²»¼Æ¿ÕÆø¶ÔÈ˵Ä×èÁ¦£¬gÈ¡10m/s2£®
Çó£º
£¨1£©ÌØÕ½¶ÓÔ±ÇáÎÕÉþ×Ó½µÂäʱµÄ¼ÓËÙ¶ÈÊǶà´ó£¿Èç¹ûÌØÕ½¶ÓÔ±´Ó¾²Ö¹¿ªÊ¼ÏÂÂäÇÒÒ»Ö±ÇáÎÕÉþ×Ó£¬Âäµ½µØÃæÊ±µÄ¶¯ÄÜΪ¶à´ó£¿
£¨2£©Ä³¶ÓÔ±ÔÚѵÁ·Ê±Óɾ²Ö¹¿ªÊ¼ÏÂÂ䣬ËûÏÈÇáÎÕÉþ×Ó×öÁËÒ»¶Îʱ¼äµÄÔȼÓËÙÔ˶¯£¬È»ºóÓÖÁ¢¼´½ôÎÕÉþ×Ó×öÁËÒ»¶Îʱ¼äµÄÔȼõËÙÔ˶¯£¬²âµÃËûÂäµ½µØÃæÊ±µÄËÙ¶È´óСΪ5m/s£¬ÇóËûÇáÎÕÉþ×Ó½×¶ÎËù¾­ÀúµÄʱ¼äºÍËûÔÚÏ»¬¹ý³ÌÖеÄ×î´ó¶¯ÄÜ£®

²é¿´´ð°¸ºÍ½âÎö>>

¿ÆÄ¿£º¸ßÖÐÎïÀí À´Ô´£º ÌâÐÍ£º

¾«Ó¢¼Ò½ÌÍøÌØÕ½¶ÓÔ±´ÓÐüÍ£ÔÚ¿ÕÖÐÀëµØ95m¸ßµÄÖ±Éý»úÉÏÑØÉþÏ»¬½øÐнµÂäѵÁ·£¬Ä³ÌØÕ½¶ÓÔ±ºÍËûЯ´øµÄÎäÆ÷ÖÊÁ¿¹²Îª80kg£¬ÉèÌØÕ½¶ÓÔ±ÓÃÌØÖÆµÄÊÖÌ×ÇáÎÕÉþ×Óʱ¿É»ñµÃ200NµÄĦ²Á×èÁ¦£¬½ôÎÕÉþ×Óʱ¿É»ñµÃ1000NµÄĦ²Á×èÁ¦£¬Ï»¬¹ý³ÌÖÐÌØÕ½¶ÓÔ±ÖÁÉÙÇáÎÕÉþ×Ó²ÅÄÜÈ·±£°²È«£® ÊÔÇó£º
£¨1£©ÌØÕ½¶ÓÔ±ÇáÎÕÉþ×Ó½µÂäʱµÄ¼ÓËٶȵĴóС£»
£¨2£©ÈôÒªÇóÌØÕ½¶ÓÔ±×ŵØÊ±µÄËٶȲ»´óÓÚ5m/s£¬ÔòÌØÕ½¶ÓÔ±ÔÚ¿ÕÖÐÏ»¬¹ý³ÌÖа´ÔõÑùµÄ·½Ê½Ô˶¯ËùÐèʱ¼ä×îÉÙ£¿×îÉÙʱ¼äΪ¶àÉÙ£¿

²é¿´´ð°¸ºÍ½âÎö>>

¿ÆÄ¿£º¸ßÖÐÎïÀí À´Ô´£º ÌâÐÍ£º

¾«Ó¢¼Ò½ÌÍøÌØÕ½¶ÓÔ±´ÓÐüÍ£ÔÚ¿ÕÖÐÀëµØ55m¸ßµÄÖ±Éý»úÉÏÑØÉþÏ»¬½øÐнµÂäѵÁ·£¬Ä³ÌØÕ½¶ÓÔ±ºÍËûЯ´øµÄÎäÆ÷ÖÊÁ¿¹²Îª80kg£¬ÉèÌØÕ½¶ÓÔ±ÓÃÌØÖÆµÄÊÖÌ×ÇáÎÕÉþ×Óʱ¿É»ñµÃ200NµÄĦ²Á×èÁ¦£¬½ôÎÕÉþ×Óʱ¿É»ñµÃ1000NµÄĦ²Á×èÁ¦£¬Ï»¬¹ý³ÌÖÐÌØÕ½¶ÓÔ±ÖÁÉÙÇáÎÕÉþ×Ó²ÅÄÜÈ·±£°²È«£¬£¨g=10m/s2£©£®ÊÔÇó£º
£¨1£©ÌØÕ½¶ÓÔ±ÇáÎÕÉþ×Ó½µÂäʱµÄ¼ÓËٶȵĴóС£»
£¨2£©ÈôÒªÇóÌØÕ½¶ÓÔ±×ŵØÊ±µÄËٶȲ»´óÓÚ5m/s£¬ÔòÌØÕ½¶ÓÔ±ÔÚ¿ÕÖÐÏ»¬µÄ×îÉÙʱ¼äΪ¶àÉÙ£¿

²é¿´´ð°¸ºÍ½âÎö>>

¿ÆÄ¿£º¸ßÖÐÎïÀí À´Ô´£º2011½ìÖØÇìÊÐÖØÇì°ËÖиßÈýÄê¼¶µÚËÄ´ÎÔ¿¼Àí×ÛÎïÀí²¿·Ö ÌâÐÍ£º¼ÆËãÌâ

ÌØÕ½¶ÓÔ±´ÓÐüÍ£ÔÚ¿ÕÖÐÀëµØ235m¸ßµÄÖ±Éý»úÉÏÑØÉþÏ»¬½øÐнµÂäѵÁ·£¬Ä³ÌØÕ½¶ÓÔ±ºÍËûЯ´øµÄÎäÆ÷ÖÊÁ¿¹²Îª80 kg£¬ÉèÌØÕ½¶ÓÔ±ÓÃÌØÖÆµÄÊÖÌ×ÇáÎÕÉþ×Óʱ¿É»ñµÃ200 NµÄĦ²Á×èÁ¦£¬½ôÎÕÉþ×Óʱ¿É»ñµÃ1000 NµÄĦ²Á×èÁ¦£¬Ï»¬¹ý³ÌÖÐÌØÕ½¶ÓÔ±ÖÁÉÙÇáÎÕÉþ×Ó²ÅÄÜÈ·±£°²È«£®²»¼Æ¿ÕÆø¶ÔÈ˵Ä×èÁ¦£¬gÈ¡10m/s2£®Çó£º

£¨1£©ÌØÕ½¶ÓÔ±ÇáÎÕÉþ×Ó½µÂäʱµÄ¼ÓËÙ¶ÈÊǶà´ó£¿Èç¹ûÌØÕ½¶ÓÔ±´Ó¾²Ö¹¿ªÊ¼ÏÂÂäÇÒÒ»Ö±ÇáÎÕÉþ×Ó£¬Âäµ½µØÃæÊ±µÄ¶¯ÄÜΪ¶à´ó£¿
£¨2£©Ä³¶ÓÔ±ÔÚѵÁ·Ê±Óɾ²Ö¹¿ªÊ¼ÏÂÂ䣬ËûÏÈÇáÎÕÉþ×Ó×öÁËÒ»¶Îʱ¼äµÄÔȼÓËÙÔ˶¯£¬È»ºóÓÖÁ¢¼´½ôÎÕÉþ×Ó×öÁËÒ»¶Îʱ¼äµÄÔȼõËÙÔ˶¯£¬²âµÃËûÂäµ½µØÃæÊ±µÄËÙ¶È´óСΪ5m/s£¬ÇóËûÇáÎÕÉþ×Ó½×¶ÎËù¾­ÀúµÄʱ¼äºÍËûÔÚÏ»¬¹ý³ÌÖеÄ×î´ó¶¯ÄÜ£®

²é¿´´ð°¸ºÍ½âÎö>>

¿ÆÄ¿£º¸ßÖÐÎïÀí À´Ô´£º2013-2014ѧÄ긣½¨Ê¡¸ßÈýÉÏѧÆÚµÚÒ»´ÎÔ¿¼ÎïÀíÊÔ¾í£¨½âÎö°æ£© ÌâÐÍ£º¼ÆËãÌâ

£¨10·Ö£©ÌØÕ½¶ÓÔ±´ÓÐüÍ£ÔÚ¿ÕÖÐÀëµØ55m¸ßµÄÖ±Éý»úÉÏÑØÉþÏ»¬½øÐнµÂäѵÁ·£¬Ä³ÌØÕ½¶ÓÔ±ºÍËûЯ´øµÄÎäÆ÷ÖÊÁ¿¹²Îª80kg£¬ÉèÌØÕ½¶ÓÔ±ÓÃÌØÖÆµÄÊÖÌ×ÇáÎÕÉþ×Óʱ¿É»ñµÃ200NµÄĦ²Á×èÁ¦£¬½ôÎÕÉþ×Óʱ¿É»ñµÃ1000NµÄĦ²Á×èÁ¦£¬Ï»¬¹ý³ÌÖÐÌØÕ½¶ÓÔ±ÖÁÉÙÇáÎÕÉþ×Ó²ÅÄÜÈ·±£°²È«£¬£¨£©¡£ÊÔÇó£º

£¨1£©ÌØÕ½¶ÓÔ±ÇáÎÕÉþ×Ó½µÂäʱµÄ¼ÓËٶȵĴóС£»

£¨2£©ÈôÒªÇóÌØÕ½¶ÓÔ±×ŵØÊ±µÄËٶȲ»´óÓÚ5m/s£¬ÔòÌØÕ½¶ÓÔ±ÔÚ¿ÕÖÐÏ»¬µÄ×îÉÙʱ¼äΪ¶àÉÙ£¿

 

²é¿´´ð°¸ºÍ½âÎö>>

ͬ²½Á·Ï°²á´ð°¸