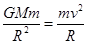
·¢É䵨Çòͬ²½ÎÀÐÇÒª¾­¹ýÈý¸ö½×¶Î£ºÏȽ«ÎÀÐÇ·¢ÉäÖÁ½üµØÔ²¹ìµÀ1£¬È»ºóʹÆäÑØÍÖÔ²¹ìµÀ2ÔËÐУ¬×îºó½«ÎÀÐÇËÍÈëͬ²½Ô²¹ìµÀ3¡£¹ìµÀ1¡¢2ÏàÇÐÓÚQµã£¬¹ìµÀ2¡¢3ÏàÇÐÓÚPµã£¬ÈçͼËùʾ¡£µ±ÎÀÐÇ·Ö±ðÔÚ1¡¢2¡¢3¹ìµÀÉÏÕý³£ÔËÐÐʱ£¬ÆäÖÐ˵·¨ÕýÈ·µÄÊÇ   £¨    £©

AÎÀÐÇÔÚ¹ìµÀ1ÉϾ­¹ýQµãʱµÄ¼ÓËٶȵÈÓÚËüÔÚ¹ìµÀ2 ÉϾ­¹ý QµãʱµÄ¼ÓËÙ¶È

BÎÀÐÇÔÚ¹ìµÀ3Éϵ͝ÄÜСÓÚËüÔÚ¹ìµÀ1Éϵ͝ÄÜ

CÎÀÐÇÔÚ¹ìµÀ3ÉϵÄÒýÁ¦ÊÆÄÜСÓÚËüÔÚ¹ìµÀ1ÉϵÄÒýÁ¦ÊÆÄÜ

DÎÀÐÇÔÚ¹ìµÀ3ÉϵĻúеÄÜ´óÓÚËüÔÚ¹ìµÀ1ÉϵĻúеÄÜ

 

¡¾´ð°¸¡¿

ABD

¡¾½âÎö¡¿

ÊÔÌâ·ÖÎö£ºÎÞÂÛÎÀÐÇÊÇÔÚ¹ìµÀ1ÉϾ­¹ýQµã»òÕßÔÚ¹ìµÀ2ÉϾ­¹ýQµãʱ£¬QµãÓëµØÇò¼äµÄ¾àÀëÊDz»±äµÄ£¬¹ÊÍòÓÐÒýÁ¦²»±ä£¬ËùÒÔ¼ÓËÙ¶ÈÊÇÏàµÈµÄ£¬AÕýÈ·£»ÓÉÓÚ¹ìµÀ3µÄ°ë¾¶´óÓÚ¹ìµÀ1£¬¹ÊÓɹ«Ê½¿ÉÖª£¬°ë¾¶Ô½´ó£¬ÆäÏßËٶȾÍԽС£¬¹ÊÆä¶¯ÄÜÒ²¾ÍԽС£¬BÊÇÕýÈ·µÄ£»

¶ÔÓÚ¹ìµÀ2¶øÑÔ£¬QΪ½üµØµã£¬¶¯ÄÜ´ó£¬PΪԶµØµã£¬ÊÆÄܴ󣬹ÊÓëµØÇòÏà¾à½ÏÔ¶´¦µÄÊÆÄܽϴ󣬹ÊÎÀÐÇÔÚ¹ìµÀ3ÉϵÄÒýÁ¦ÊÆÄÜ´óÓÚËüÔÚ¹ìµÀ1ÉϵÄÒýÁ¦ÊÆÄÜ£¬CÊDz»ÕýÈ·µÄ£»ÎÀÐÇÓɹìµÀ1µ½¹ìµÀ3µÄ¹ý³ÌÖУ¬ÐèÒª¶à´Î¼ÓËÙ£¬¼´ÍâÁ¦¶ÔÎÀÐÇ×ö¹¦£¬¹ÊÆä»úеÄÜ»áÔö´ó£¬ËùÒÔÎÀÐÇÔÚ¹ìµÀ3ÉϵĻúеÄÜ´óÓÚËüÔÚ¹ìµÀ1ÉϵĻúеÄÜ£¬DÊÇÕýÈ·µÄ¡£

¿¼µã£ºÔ²ÖÜÔ˶¯µÄ¹æÂÉ£¬¶¯ÄÜÓëÊÆÄܵÄת»¯£¬¶¯Äܶ¨ÀíµÈ¡£

 

Á·Ï°²áϵÁдð°¸
Ïà¹ØÏ°Ìâ

¿ÆÄ¿£º¸ßÖÐÎïÀí À´Ô´£º ÌâÐÍ£º

¡°ÉñÖÛ¡±Ê®ºÅÔØÈ˺½Ìì·¢Éä¿ØÖÆÖÐÐĵĴóÆÁÄ»ÉϳöÏÖµÄÒ»·ù·É´¬ÔËÐй켣ͼÈçÏ£¬Ëü¼Ç¼ÁË·É´¬ÔÚµØÇò±íÃæ´¹Ö±Í¶Ó°µÄλÖñ仯£»Í¼Öбíʾһ¶Îʱ¼äÄÚ·É´¬ÈƵØÇòÑØÔ²ÖÜ·ÉÐÐËÄȦ£¬ÒÀ´Î·É¾­ÖйúºÍ̫ƽÑóµØÇøµÄËĴι켣¢Ù¡¢¢Ú¡¢¢Û¡¢¢Ü£¬Í¼Öзֱð±ê³öÁ˸÷µØµãµÄ¾­Î³¶È£®Í¨¹ý¹Û²ì´Ëͼ£¬Ä³Í¬Ñ§·¢ÏÖ£¬·É´¬ÈƵØÇò»·ÈÆÒ»ÖܵĹý³ÌÖУ¬µØÇò´óÔ¼×Ôת22.5¡ã£®ÒÑÖªµØÇò°ë¾¶Îª6.4¡Á103km£¬ÒÀ¾ÝÉÏÊöÐÅÏ¢¿É¹ÀËã³ö£¨¡¡¡¡£© 

²é¿´´ð°¸ºÍ½âÎö>>

¿ÆÄ¿£º¸ßÖÐÎïÀí À´Ô´£º2013-2014ѧÄêÕã½­Ê¡¸ßÈýÉÏѧÆÚµÚ¶þ´ÎÔ¿¼ÎïÀíÊÔ¾í£¨½âÎö°æ£© ÌâÐÍ£ºÑ¡ÔñÌâ

·¢É䵨Çòͬ²½ÎÀÐÇʱ£¬ÏȽ«ÎÀÐÇ·¢ÉäÖÁ½üµØÔ²¹ìµÀ1£¬È»ºó¾­µã»ð£¬Ê¹ÆäÑØÍÖÔ²¹ìµÀ2ÔËÐУ¬×îºóÔٴεã»ð£¬½«ÎÀÐÇËÍÈëͬ²½Ô²¹ìµÀ3£¬¹ìµÀ1¡¢2ÏàÇÐÓÚQµã£¬¹ìµÀ2¡¢3ÏàÇÐÓÚPµã£¬ÈçͼËùʾ¡£ÔòÒÔÏÂ˵·¨ÕýÈ·µÄÊÇ  (     )

A£®Òª½«ÎÀÐÇÓÉÔ²¹ìµÀ1ËÍÈëÔ²¹ìµÀ3£¬ÐèÒªÔÚÍÖÔ²¹ìµÀ2µÄ½üµØµãQºÍÔ¶µØµãP·Ö±ðµã»ð¼ÓËÙÒ»´Î

B£®ÓÉÓÚÎÀÐÇÓÉÔ²¹ìµÀ1ËÍÈëÔ²¹ìµÀ3±»µã»ð¼ÓËÙÁ½´Î£¬ÔòÎÀÐÇÔÚÔ²¹ìµÀ3ÉÏÕý³£ÔËÐÐËÙ¶ÈÒª´óÓÚÔÚÔ²¹ìµÀ1ÉÏÕý³£ÔËÐеÄËÙ¶È

C.ÎÀÐÇÔÚÍÖÔ²¹ìµÀ2ÉϵĽüµØµãQµÄËÙ¶ÈÒ»¶¨´óÓÚ7.9km/s£¬¶øÔÚÔ¶µØµãPµÄËÙ¶ÈÒ»¶¨Ð¡ÓÚ7.9km/s

D.ÎÀÐÇÔÚÍÖÔ²¹ìµÀ2ÉϾ­¹ýPµãʱµÄ¼ÓËٶȵÈÓÚËüÔÚÔ²¹ìµÀ3ÉϾ­¹ýPµãʱµÄ¼ÓËÙ¶È

 

²é¿´´ð°¸ºÍ½âÎö>>

¿ÆÄ¿£º¸ßÖÐÎïÀí À´Ô´£º2013Äê¸ÊËàÊ¡¸ßÈýÄê¼¶µÚÈý´ÎÄ£Ä⿼ÊÔÀí¿Æ×ÛºÏÎïÀí²âÊÔ¾í£¨½âÎö°æ£© ÌâÐÍ£ºÑ¡ÔñÌâ

·¢É䵨Çòͬ²½ÎÀÐÇʱ£¬ÏȽ«ÎÀÐÇ·¢ÉäÖÁ½üµØÔ²¹ìµÀ1£¬È»ºó¾­µã»ð£¬Ê¹ÆäÑØÍÖÔ²¹ìµÀ2ÔËÐУ¬×îºóÔٴεã»ð£¬½«ÎÀÐÇËÍÈëͬ²½Ô²¹ìµÀ3£¬¹ìµÀ1¡¢2ÏàÇÐÓÚQµã£¬¹ìµÀ2¡¢3ÏàÇÐÓÚPµã£¬ÈçͼËùʾ¡£ÔòÒÔÏÂ˵·¨ÕýÈ·µÄÊÇ

A£®Òª½«ÎÀÐÇÓÉÔ²¹ìµÀ1ËÍÈëÔ²¹ìµÀ3£¬ÐèÒªÔÚÍÖÔ²¹ìµÀ2µÄ½üµØµãQºÍÔ¶µØµãP·Ö±ðµã»ð¼ÓËÙÒ»´Î

B£®ÓÉÓÚÎÀÐÇÓÉÔ²¹ìµÀ1ËÍÈëÔ²¹ìµÀ3±»µã»ð¼ÓËÙÁ½´Î£¬ÔòÎÀÐÇÔÚÔ²¹ìµÀ3ÉÏÕý³£ÔËÐÐËÙ¶ÈÒª´óÓÚÔÚÔ²¹ìµÀ1ÉÏÕý³£ÔËÐеÄËÙ¶È

C.ÎÀÐÇÔÚÍÖÔ²¹ìµÀ2ÉϵĽüµØµãQµÄËÙ¶ÈÒ»¶¨´óÓÚ7.9km/s£¬¶øÔÚÔ¶µØµãPµÄËÙ¶ÈÒ»¶¨Ð¡ÓÚ7.9km/s

D.ÎÀÐÇÔÚÍÖÔ²¹ìµÀ2ÉϾ­¹ýPµãʱµÄ¼ÓËٶȵÈÓÚËüÔÚÔ²¹ìµÀ3ÉϾ­¹ýPµãʱµÄ¼ÓËÙ¶È

 

²é¿´´ð°¸ºÍ½âÎö>>

¿ÆÄ¿£º¸ßÖÐÎïÀí À´Ô´£º ÌâÐÍ£º¶àÑ¡Ìâ

·¢É䵨Çòͬ²½ÎÀÐÇʱ£¬ÏȽ«ÎÀÐÇ·¢ÉäÖÁ½üµØÔ²¹ìµÀ1£¬È»ºó¾­µã»ð£¬Ê¹ÆäÑØÍÖÔ²¹ìµÀ2ÔËÐУ¬×îºóÔٴεã»ð£¬½«ÎÀÐÇËÍÈëͬ²½Ô²¹ìµÀ3£¬¹ìµÀ1¡¢2ÏàÇÐÓÚQµã£¬¹ìµÀ2¡¢3ÏàÇÐÓÚPµã£¬ÈçͼËùʾ¡£ÔòÒÔÏÂ˵·¨ÕýÈ·µÄÊÇ


  1. A.
    Òª½«ÎÀÐÇÓÉÔ²¹ìµÀ1ËÍÈëÔ²¹ìµÀ3£¬ÐèÒªÔÚÍÖÔ²¹ìµÀ2µÄ½üµØµãQºÍÔ¶µØµãP·Ö±ðµã»ð¼ÓËÙÒ»´Î
  2. B.
    ÓÉÓÚÎÀÐÇÓÉÔ²¹ìµÀ1ËÍÈëÔ²¹ìµÀ3±»µã»ð¼ÓËÙÁ½´Î£¬ÔòÎÀÐÇÔÚÔ²¹ìµÀ3ÉÏÕý³£ÔËÐÐËÙ¶ÈÒª´óÓÚÔÚÔ²¹ìµÀ1ÉÏÕý³£ÔËÐеÄËÙ¶È
  3. C.
    ÎÀÐÇÔÚÍÖÔ²¹ìµÀ2ÉϵĽüµØµãQµÄËÙ¶ÈÒ»¶¨´óÓÚ7.9km/s£¬¶øÔÚÔ¶µØµãPµÄËÙ¶ÈÒ»¶¨Ð¡ÓÚ7.9km/s
  4. D.
    ÎÀÐÇÔÚÍÖÔ²¹ìµÀ2ÉϾ­¹ýPµãʱµÄ¼ÓËٶȵÈÓÚËüÔÚÔ²¹ìµÀ3ÉϾ­¹ýPµãʱµÄ¼ÓËÙ¶È

²é¿´´ð°¸ºÍ½âÎö>>

¿ÆÄ¿£º¸ßÖÐÎïÀí À´Ô´£º ÌâÐÍ£º

·¢É䵨Çòͬ²½ÎÀÐÇʱ£¬ÏȽ«ÎÀÐÇ·¢ÉäÖÁ½üµØÔ²¹ìµÀ1£¬È»ºó¾­µã»ð£¬Ê¹ÆäÑØÍÖÔ²¹ìµÀ2ÔËÐУ¬×îºóÔٴεã»ð£¬½«ÎÀÐÇËÍÈëͬ²½Ô²¹ìµÀ3£¬¹ìµÀ1¡¢2ÏàÇÐÓÚQµã£¬¹ìµÀ2¡¢3ÏàÇÐÓÚPµã£¬ÈçͼËùʾ¡£ÔòÒÔÏÂ˵·¨ÕýÈ·µÄÊÇ  (     )

A£®Òª½«ÎÀÐÇÓÉÔ²¹ìµÀ1ËÍÈëÔ²¹ìµÀ3£¬ÐèÒªÔÚÍÖÔ²¹ìµÀ2µÄ½üµØµãQºÍÔ¶µØµãP·Ö±ðµã»ð¼ÓËÙÒ»´Î

B£®ÓÉÓÚÎÀÐÇÓÉÔ²¹ìµÀ1ËÍÈëÔ²¹ìµÀ3±»µã»ð¼ÓËÙÁ½´Î£¬ÔòÎÀÐÇÔÚÔ²¹ìµÀ3ÉÏÕý³£ÔËÐÐËÙ¶ÈÒª´óÓÚÔÚÔ²¹ìµÀ1ÉÏÕý³£ÔËÐеÄËÙ¶È

C.ÎÀÐÇÔÚÍÖÔ²¹ìµÀ2ÉϵĽüµØµãQµÄËÙ¶ÈÒ»¶¨´óÓÚ7.9km/s£¬¶øÔÚÔ¶µØµãPµÄËÙ¶ÈÒ»¶¨Ð¡ÓÚ7.9km/s

D.ÎÀÐÇÔÚÍÖÔ²¹ìµÀ2ÉϾ­¹ýPµãʱµÄ¼ÓËٶȵÈÓÚËüÔÚÔ²¹ìµÀ3ÉϾ­¹ýPµãʱµÄ¼ÓËÙ¶È

²é¿´´ð°¸ºÍ½âÎö>>

ͬ²½Á·Ï°²á´ð°¸