ijͬѧÓÃÈçͼËùʾµÄ×°Öá°ÑéÖ¤¶¯Á¿Êغ㶨ÂÉ¡±£¬Æä²Ù×÷²½ÖèÈçÏ£º
A£®½«²Ù×÷̨µ÷Ϊˮƽ£»
B£®ÓÃÌìÆ½²â³ö»¬¿éA¡¢BµÄÖÊÁ¿mA¡¢mB£»
C£®ÓÃϸÏß½«»¬¿éA¡¢BÁ¬½Ó£¬»¬¿éA¡¢B½ô¿¿ÔÚ²Ù×÷̨±ßÔµ£¬Ê¹A¡¢B¼äµÄµ¯»É´¦ÓÚѹËõ״̬£»
D£®¼ô¶ÏϸÏߣ¬»¬¿éA¡¢B¾ù×öƽÅ×Ô˶¯£¬¼Ç¼A¡¢B»¬¿éµÄÂ䵨µãM¡¢N£»
E£®Óÿ̶ȳ߲â³öM¡¢N¾à²Ù×÷̨±ßÔµµÄˮƽ¾àÀëx1¡¢x2£»
F£®Óÿ̶ȳ߲â³ö²Ù×÷Ì¨Ãæ¾àµØÃæµÄ¸ß¶Èh£®
£¨1£©ÉÏÊö²½ÖèÖУ¬¶àÓàµÄ²½ÖèÊÇ    £®
£¨2£©Èç¹û¶¯Á¿Êغ㣬ÐëÂú×ãµÄ¹ØÏµÊÇ    £¨ÓòâÁ¿Á¿±íʾ£©£®
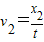
¡¾´ð°¸¡¿·ÖÎö£ºÉÕ¶ÏϸÏߺó£¬Á½ÇòÀ뿪×ÀÃæ×öƽÅ×Ô˶¯£¬ÓÉÓڸ߶ÈÏàµÈ£¬ÔòƽÅ×µÄʱ¼äÏàµÈ£¬Ë®Æ½Î»ÒÆÓë³õËٶȳÉÕý±È£¬°ÑƽÅ×µÄʱ¼ä×÷Ϊʱ¼äµ¥Î»£¬Ð¡ÇòµÄË®Æ½Î»ÒÆ¿ÉÌæ´úƽÅ×Ô˶¯µÄ³õËÙ¶È£®½«ÐèÒªÑéÖ¤µÄ¹ØÏµËÙ¶ÈÓÃË®Æ½Î»ÒÆÌæ´ú£®
½â´ð£º½â£ºÈ¡Ð¡ÇòAµÄ³õËÙ¶È·½ÏòΪÕý·½Ïò£¬Á½Ð¡ÇòÖÊÁ¿ºÍƽÅ׳õËÙ¶È·Ö±ðΪmA¡¢mA£¬v1¡¢v2£¬Æ½Å×Ô˶¯µÄË®Æ½Î»ÒÆ·Ö±ðΪx1¡¢x2£¬Æ½Å×Ô˶¯µÄʱ¼äΪt£®
        ÐèÒªÑéÖ¤µÄ·½³Ì£º0=mAv1-mBv2
                 ÓÖv1=£¬
´úÈëµÃµ½mAx1=mBx2
¹Ê²»ÐèÒªÓÿ̶ȳ߲â³ö²Ù×÷Ì¨Ãæ¾àµØÃæµÄ¸ß¶Èh£®ËùÒÔ¶àÓàµÄ²½ÖèÊÇF£»
¹Ê´ð°¸Îª£ºF£¬mAx1=mBx2
µãÆÀ£º±¾ÌâÊÇÔËÓõÈЧ˼ά·½·¨£¬Æ½Å×ʱ¼äÏàµÈ£¬ÓÃË®Æ½Î»ÒÆ´úÌæ³õËÙ¶È£¬ÕâÑù½«²»±ãÑéÖ¤µÄ·½³Ì±ä³ÉÈÝÒ×ÑéÖ¤£®
Á·Ï°²áϵÁдð°¸
Ïà¹ØÏ°Ìâ

¿ÆÄ¿£º¸ßÖÐÎïÀí À´Ô´£º ÌâÐÍ£º

£¨1£©Í¼1ÖÐÂÝÐý²â΢Æ÷¶ÁÊýΪ
0.796
0.796
mm£®
£¨2£©Í¼2ÖÐÓα꿨³ß£¨Óαê³ßÉÏÓÐ50¸öµÈ·Ö¿Ì¶È£©¶ÁÊýΪ
1.094
1.094
cm£®

£¨3£©Ä³Í¬Ñ§²ÉÓÃÈçͼËùʾµÄµç·²â¶¨µç³Øµç¶¯ÊƺÍÄÚ×裮³ý´ý²âµç³ØÍ⣬ÌṩµÄÆ÷²ÄÓУºµçѹ±í£¬µçÁ÷±í£¬»¬¶¯±ä×èÆ÷£¬¿ª¹ØºÍµ¼ÏßÈô¸É£®

¢ÙÇ밴ͼËùʾµÄµç·£¬½«ÊµÎïͼÁ¬½Ó³ÉʵÑéµç·£®
¢ÚÈçͼÊǸù¾Ý²âÁ¿½á¹û×÷³öµÄI-U Í¼Ïߣ¬ÔòÓÉͼÏß¿ÉÖª¸Ãµç³ØµÄµç¶¯ÊÆÎªE1=
1.5
1.5
V£¬ÄÚ×èΪr1=
0.2
0.2
¦¸£®
¢ÛÎÒÃǶ¼ÓйýÕâÑùµÄÌåÑ飺ÊÖµçͲÀïµÄÁ½½Ú¸Éµç³ØÓþÃÁËÒԺ󣬵ÆÅÝ·¢ºì¹â£¬ÕâÊÇÎÒÃdz£ËµµÄ¡°µç³ØÃ»µçÁË¡±£®ÓÐÈËΪÁË¡°½ÚÔ¼¡±£¬ÔÚÊÖµçͲÀï×°Ò»½ÚÐÂµç³ØºÍÒ»½Ú¾Éµç³Ø´îÅäʹÓã®ÒÑÖªÐÂµç³ØµÄµç¶¯ÊÆE1=1.5V¡¢ÄÚ×èr1=0.2¦¸£»¾Éµç³ØµÄµç¶¯ÊÆE2=1.5V£»ÄÚ×èr2=6.8¦¸£»Ð¡µÆÅÝÉϱêÓС°3V 3W¡±£¬ÇÒµç×è²»ËæÎ¶ȱ仯£®ÔòÊÖµçͲ¹¤×÷ʱµç·ÖÐ¾Éµç³ØÌṩµÄµç¹¦ÂÊΪ
0.45
0.45
W£¬Ëü±¾ÉíÏûºÄµÄµç¹¦ÂÊ
0.612
0.612
W£®£¨ÒÑÖªÁ½µç³Ø´®ÁªµÄ×Üµç¶¯ÊÆµÈÓÚÁ½µç³ØµÄµç¶¯ÊÆÖ®ºÍ£©£®¸ù¾Ý¼ÆËã½á¹û£¬ÄãÈÏΪÐÂ¾Éµç³Ø´îÅäʹÓõÄ×ö·¨ÊÇ·ñºÏÀí
²»ºÏÀí
²»ºÏÀí
£¨Ìî¡°ºÏÀí¡±»ò¡°²»ºÏÀí¡±£©£®

²é¿´´ð°¸ºÍ½âÎö>>

¿ÆÄ¿£º¸ßÖÐÎïÀí À´Ô´£º2012-2013ѧÄ꼪ÁÖÊ¡ËÄУЭ×÷Ìå¸ßÒ»ÏÂѧÆÚÆÚÖп¼ÊÔÎïÀíÊÔ¾í£¨´ø½âÎö£© ÌâÐÍ£ºÊµÑéÌâ

ÓÃÈçͼËùʾµÄ×°ÖÃÑо¿ÔÚ×÷ÓÃÁ¦FÒ»¶¨Ê±£¬Ð¡³µµÄ¼ÓËÙ¶ÈaÓëС³µÖÊÁ¿MµÄ¹ØÏµ£¬
ijλͬѧÉè¼ÆµÄʵÑé²½ÖèÈçÏ£º

A£®ÓÃÌìÆ½³Æ³öС³µºÍСͰ¼°ÆäÄÚ²¿ËùװɰµÄÖÊÁ¿£»
B£®°´Í¼×°ºÃʵÑéÆ÷²Ä£»
C£®°ÑÇáÉþϵÔÚС³µÉϲ¢Èƹý¶¨»¬ÂÖÐü¹ÒɰͰ£»
D£®½«µç»ð»¨¼ÆÊ±Æ÷½ÓÔÚµçѹΪ6 VµÄ½»Á÷µçÔ´ÉÏ£¬½ÓͨµçÔ´£¬·Å¿ªÐ¡³µ£¬´òµã¼ÆÊ±Æ÷ÔÚÖ½´øÉÏ´òÏÂһϵÁе㣬²¢ÔÚÖ½´øÉϱêÃ÷С³µÖÊÁ¿£»
E£®±£³ÖСͰ¼°ÆäÄÚ²¿ËùװɰµÄÖÊÁ¿²»±ä£¬Ôö¼ÓС³µÉϵÄíÀÂë¸öÊý£¬²¢¼Ç¼ÿ´ÎÔö¼Óºó
µÄMÖµ£¬Öظ´ÉÏÊöʵÑ飻
F£®·ÖÎöÿÌõÖ½´ø£¬²âÁ¿²¢¼ÆËã³ö¼ÓËٶȵÄÖµ£»
G£®×÷a£­1/M¹ØÏµÍ¼Ïñ£¬²¢ÓÉͼÏñÈ·¶¨a£­M¹ØÏµ£®

(1)¸Ãͬѧ©µôµÄÖØÒªÊµÑé²½ÖèÊÇ______£¬¸Ã²½ÖèÓ¦ÅÅÔÚʵÑé²½Öè______Ö®ºó£®
(2)ÔÚÉÏÊö²½ÖèÖУ¬ÓдíÎóµÄÊÇ_______£¬Ó¦°Ñ____________¸ÄΪ_____                 _____£®
(3) ¸ù¾Ý±íÖÐËùÁÐÊý¾Ý£¬»­³öa¡ª1/MͼÏñ£®
a(m¡¤s£­2)
2.04
2.66
3.23
3.98
1/M(kg£­1)
0.50
0.67
0.80
1.00

²é¿´´ð°¸ºÍ½âÎö>>

¿ÆÄ¿£º¸ßÖÐÎïÀí À´Ô´£º2015½ì¼ªÁÖÊ¡ËÄУЭ×÷Ìå¸ßÒ»ÏÂѧÆÚÆÚÖп¼ÊÔÎïÀíÊÔ¾í£¨½âÎö°æ£© ÌâÐÍ£ºÊµÑéÌâ

ÓÃÈçͼËùʾµÄ×°ÖÃÑо¿ÔÚ×÷ÓÃÁ¦FÒ»¶¨Ê±£¬Ð¡³µµÄ¼ÓËÙ¶ÈaÓëС³µÖÊÁ¿MµÄ¹ØÏµ£¬

ijλͬѧÉè¼ÆµÄʵÑé²½ÖèÈçÏ£º

A£®ÓÃÌìÆ½³Æ³öС³µºÍСͰ¼°ÆäÄÚ²¿ËùװɰµÄÖÊÁ¿£»

B£®°´Í¼×°ºÃʵÑéÆ÷²Ä£»

C£®°ÑÇáÉþϵÔÚС³µÉϲ¢Èƹý¶¨»¬ÂÖÐü¹ÒɰͰ£»

D£®½«µç»ð»¨¼ÆÊ±Æ÷½ÓÔÚµçѹΪ6 VµÄ½»Á÷µçÔ´ÉÏ£¬½ÓͨµçÔ´£¬·Å¿ªÐ¡³µ£¬´òµã¼ÆÊ±Æ÷ÔÚÖ½´øÉÏ´òÏÂһϵÁе㣬²¢ÔÚÖ½´øÉϱêÃ÷С³µÖÊÁ¿£»

E£®±£³ÖСͰ¼°ÆäÄÚ²¿ËùװɰµÄÖÊÁ¿²»±ä£¬Ôö¼ÓС³µÉϵÄíÀÂë¸öÊý£¬²¢¼Ç¼ÿ´ÎÔö¼Óºó

µÄMÖµ£¬Öظ´ÉÏÊöʵÑ飻

F£®·ÖÎöÿÌõÖ½´ø£¬²âÁ¿²¢¼ÆËã³ö¼ÓËٶȵÄÖµ£»

G£®×÷a£­1/M¹ØÏµÍ¼Ïñ£¬²¢ÓÉͼÏñÈ·¶¨a£­M¹ØÏµ£®

(1)¸Ãͬѧ©µôµÄÖØÒªÊµÑé²½ÖèÊÇ______£¬¸Ã²½ÖèÓ¦ÅÅÔÚʵÑé²½Öè______Ö®ºó£®

(2)ÔÚÉÏÊö²½ÖèÖУ¬ÓдíÎóµÄÊÇ_______£¬Ó¦°Ñ____________¸ÄΪ_____                 _____£®

(3) ¸ù¾Ý±íÖÐËùÁÐÊý¾Ý£¬»­³öa¡ª1/MͼÏñ£®

a(m¡¤s£­2)

2.04

2.66

3.23

3.98

1/M(kg£­1)

0.50

0.67

0.80

1.00

 

²é¿´´ð°¸ºÍ½âÎö>>

¿ÆÄ¿£º¸ßÖÐÎïÀí À´Ô´£º2012ÄêÈ˽̰æ¸ßÖÐÎïÀí±ØÐÞÒ»4.2ʵÑ飺̽¾¿¼ÓËÙ¶ÈÓëÁ¦¡¢ÖÊÁ¿µÄ¹ØÏµ£¨½âÎö°æ£© ÌâÐÍ£ºÊµÑéÌâ

ÓÃÈçͼËùʾµÄ×°ÖÃÑо¿ÔÚ×÷ÓÃÁ¦FÒ»¶¨Ê±£¬Ð¡³µµÄ¼ÓËÙ¶ÈaÓëС³µÖÊÁ¿MµÄ¹ØÏµ£¬Ä³Î»Í¬Ñ§Éè¼ÆµÄʵÑé²½ÖèÈçÏ£º

A£®ÓÃÌìÆ½³Æ³öС³µºÍСͰ¼°ÆäÄÚ²¿Ëùװɳ×ÓµÄÖÊÁ¿£»

B£®°´Í¼×°ºÃʵÑéÆ÷²Ä£»

C£®°ÑÇáÉþϵÔÚС³µÉϲ¢Èƹý¶¨»¬ÂÖÐü¹ÒɳͰ£»

D£®½«µç´Å´òµã¼ÆÊ±Æ÷½ÓÔÚ6 VµçѹµÄÐîµç³ØÉÏ£¬½ÓͨµçÔ´£¬·Å¿ªÐ¡³µ£¬´òµã¼ÆÊ±Æ÷ÔÚÖ½´øÉÏ´òÏÂһϵÁе㣬²¢ÔÚÖ½´øÉϱêÃ÷С³µÖÊÁ¿£»

E£®±£³ÖСͰ¼°ÆäÄÚ²¿Ëùװɳ×ÓµÄÖÊÁ¿²»±ä£¬Ôö¼ÓС³µÉϵÄíÀÂë¸öÊý£¬²¢¼Ç¼ÿ´ÎÔö¼ÓºóµÄMÖµ£¬Öظ´ÉÏÊöʵÑ飻

F£®·ÖÎöÿÌõÖ½´ø£¬²âÁ¿²¢¼ÆËã³ö¼ÓËٶȵÄÖµ£»

G£®×÷a£­M¹ØÏµÍ¼Ï󣬲¢ÓÉͼÏóÈ·¶¨a£­M¹ØÏµ£®

(1)¸Ãͬѧ©µôµÄÖØÒªÊµÑé²½ÖèÊÇ______£¬¸Ã²½

ÖèÓ¦ÅÅÔÚ______ʵÑé²½ÖèÖ®ºó£®

(2)ÔÚÉÏÊö²½ÖèÖУ¬ÓдíÎóµÄÊÇ________£¬Ó¦°Ñ__________¸ÄΪ____________£®

(3)ÔÚÉÏÊö²½ÖèÖУ¬´¦Àí²»Ç¡µ±µÄÊÇ______£¬Ó¦°Ñ__________¸ÄΪ____________£®

 

²é¿´´ð°¸ºÍ½âÎö>>

¿ÆÄ¿£º¸ßÖÐÎïÀí À´Ô´£º2011Äê¸ÊËàÊ¡¸ß¿¼ÎïÀíÄ£ÄâÊÔ¾í£¨ËÄ£©£¨½âÎö°æ£© ÌâÐÍ£ºÌî¿ÕÌâ

£¨1£©Í¼1ÖÐÂÝÐý²â΢Æ÷¶ÁÊýΪ    mm£®
£¨2£©Í¼2ÖÐÓα꿨³ß£¨Óαê³ßÉÏÓÐ50¸öµÈ·Ö¿Ì¶È£©¶ÁÊýΪ    cm£®

£¨3£©Ä³Í¬Ñ§²ÉÓÃÈçͼËùʾµÄµç·²â¶¨µç³Øµç¶¯ÊƺÍÄÚ×裮³ý´ý²âµç³ØÍ⣬ÌṩµÄÆ÷²ÄÓУºµçѹ±í£¬µçÁ÷±í£¬»¬¶¯±ä×èÆ÷£¬¿ª¹ØºÍµ¼ÏßÈô¸É£®

¢ÙÇ밴ͼËùʾµÄµç·£¬½«ÊµÎïͼÁ¬½Ó³ÉʵÑéµç·£®
¢ÚÈçͼÊǸù¾Ý²âÁ¿½á¹û×÷³öµÄI-U Í¼Ïߣ¬ÔòÓÉͼÏß¿ÉÖª¸Ãµç³ØµÄµç¶¯ÊÆÎªE1=    V£¬ÄÚ×èΪr1=    ¦¸£®
¢ÛÎÒÃǶ¼ÓйýÕâÑùµÄÌåÑ飺ÊÖµçͲÀïµÄÁ½½Ú¸Éµç³ØÓþÃÁËÒԺ󣬵ÆÅÝ·¢ºì¹â£¬ÕâÊÇÎÒÃdz£ËµµÄ¡°µç³ØÃ»µçÁË¡±£®ÓÐÈËΪÁË¡°½ÚÔ¼¡±£¬ÔÚÊÖµçͲÀï×°Ò»½ÚÐÂµç³ØºÍÒ»½Ú¾Éµç³Ø´îÅäʹÓã®ÒÑÖªÐÂµç³ØµÄµç¶¯ÊÆE1=1.5V¡¢ÄÚ×èr1=0.2¦¸£»¾Éµç³ØµÄµç¶¯ÊÆE2=1.5V£»ÄÚ×èr2=6.8¦¸£»Ð¡µÆÅÝÉϱêÓС°3V 3W¡±£¬ÇÒµç×è²»ËæÎ¶ȱ仯£®ÔòÊÖµçͲ¹¤×÷ʱµç·ÖÐ¾Éµç³ØÌṩµÄµç¹¦ÂÊΪ    W£¬Ëü±¾ÉíÏûºÄµÄµç¹¦ÂÊ    W£®£¨ÒÑÖªÁ½µç³Ø´®ÁªµÄ×Üµç¶¯ÊÆµÈÓÚÁ½µç³ØµÄµç¶¯ÊÆÖ®ºÍ£©£®¸ù¾Ý¼ÆËã½á¹û£¬ÄãÈÏΪÐÂ¾Éµç³Ø´îÅäʹÓõÄ×ö·¨ÊÇ·ñºÏÀí    £¨Ìî¡°ºÏÀí¡±»ò¡°²»ºÏÀí¡±£©£®

²é¿´´ð°¸ºÍ½âÎö>>

ͬ²½Á·Ï°²á´ð°¸