精英家教网 > 高中物理 > 题目详情

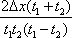
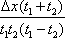
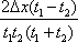
一物体作匀加速直线运动,通过一段位移Δx所用的时间为t1,紧接着通过下一段位移Δx所用时间为t2.则物体运动的加速度为

A.

B.

C.

D.

练习册系列答案
相关习题

科目:高中物理 来源: 题型:

(2011?安徽)一物体作匀加速直线运动,通过一段位移△x所用的时间为t1,紧接着通过下一段位移△x所用时间为t2.则物体运动的加速度为(  )

查看答案和解析>>

科目:高中物理 来源: 题型:

一物体作匀加速直线运动,某时刻速度的大小为v1=4m/s,2秒钟后速度的大小变为v2=8m/s,v1、v2|方向一致,则在这2秒钟内,该物体的加速度大小为
2
2
m/s2,位移大小为
12
12
m.

查看答案和解析>>

科目:高中物理 来源: 题型:

(2012?浠水县模拟)一物体作匀加速直线运动,在2s内通过的位移为6m,在紧接着的1s内通过的位移也为6m.求物体运动的加速度的大小.

查看答案和解析>>

科目:高中物理 来源: 题型:

一物体作匀加速直线运动,通过一段位移△x所用的时间为t1,紧接着通过下一段位移△x所用时间为t2.则物体运动的加速度为
2△x(t1-t2)
t1t2(t1+t2)
2△x(t1-t2)
t1t2(t1+t2)

查看答案和解析>>

科目:高中物理 来源: 题型:

一物体作匀加速直线运动,加速度的大小是2m/s2,加速2s后速度达到10m/s,则物体运动的初速度等于
 
m/s,如果物体继续加速运动75m,则物体将加速到
 
m/s的速度.

查看答案和解析>>

同步练习册答案