精英家教网 > 高中物理 > 题目详情

如图所示,两个质量不同的小球用长度不等的细线拴在同一点,并在同一水平面内做匀速圆周运动,则它们的(  ).

A.绳子的拉力一样大。

B.线速度的大小相等

C.角速度的大小相等

D.向心加速度的大小相等

 

【答案】

C

【解析】

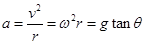
试题分析:对小球受力分析如下图,自身重力,绳子拉力,合力指向圆心即水平方向,根据矢量合成的几何关系可得长度不同夹角不同向心加速度不同选项D错误。

假设悬点到圆心高度为,则圆周运动半径,圆周运动向心加速度,带入得,高度相同夹角不同因此线速度不同选项B错。

,高度相同角速度相同选项C正确。

绳子拉力,小球质量不同,倾角不同,而且倾角和质量无关因此不能断定绳子拉力相等选项A错。

考点:匀速圆周运动

 

练习册系列答案
相关习题

科目:高中物理 来源: 题型:

如图所示,两个质量分别为m1=2kg,m2=3kg的物体置于光滑的水平面上,中间用轻质弹簧秤连接.两个大小分别为F1=30N、F2=20N的水平拉力分别作用在m1、m2上,则(  )

查看答案和解析>>

科目:高中物理 来源: 题型:

如图所示,两个质量相等的物体A、B处在同一水平线上,当物体A被水平抛出的同时,物体B开始自由下落,图中曲线AC为物体A的运动轨迹,直线BD为物体B的运动轨迹,两轨迹相交于O点,空气阻力忽略不计,则(  )

查看答案和解析>>

科目:高中物理 来源: 题型:

(2010?宿州二模)如图所示,两个质量各为mA和mB的小球A和B,分别系在一条跨过定滑轮的柔软轻绳的两端,不计滑轮轴的摩擦、滑轮的质量和空气阻力,已知mA>mB,开始时,A、B两球以等大的初速度V0分别竖直向下和竖直向上运动,当A物体下降距离为h时,A、B速度大小都为Vt,试利用牛顿运动定律及匀变速直线运动规律,证明在此运动过程中,A、B组成的系统机械能守恒.

查看答案和解析>>

科目:高中物理 来源: 题型:

如图所示,两个质量不相等的小车中间夹一被压缩的轻弹簧,现用两手分别按住小车,使它们静止在光滑水平面上.在下列几种释放小车的方式中,说法正确的是(    )

A.若同时放开两车,则此后的各状态下,两小车的加速度大小一定相等

B.若同时放开两车,则此后的各状态下,两小车的动量大小一定相等

C.若先放开左车,然后放开右车,则此后的过程中,两小车和弹簧组成的系统总动量向左

D.若先放开左车,然后放开右车,则此后的过程中,两小车和弹簧组成的系统总动量向右

查看答案和解析>>

科目:高中物理 来源: 题型:

如图所示,两个质量不相等的小车中间夹一被缩的轻弹簧,现用两手分别按住小车,使它们静止在光滑水平面上。在下列几种释放小车的方式中,说法正确的是
A.若同时放开两车,则此后的各状态下,两小车的加速度大小一定相等
B.若同时放开两车,则此后的各状态下,两小车的动量大小一定相等
C.若先放开左车,然后放开右车,则此后的过程中,两小车和弹簧组成的系统总动量向左
D.若先放开左车,然后放开右车,则此后的过程中,两小车和弹簧组成的系统总动量向右

查看答案和解析>>

同步练习册答案