精英家教网 > 高中物理 > 题目详情
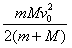
如图所示,光滑水平面上停着一个质量为M的木块乙,乙上固定着一轻质弹簧,另一个质量为m的木块以速度为v0向右运动,求弹簧在压缩过程中所具有的最大弹性势能(设压缩量在弹性限度内)。
解:弹簧压缩量最大时,两木块速度相等,设为v,此时弹性势能最大,由动量守恒定律有:

由能量守恒定律知,最大弹性势能等于系统减少的动能,有:
=
练习册系列答案
相关习题

科目:高中物理 来源: 题型:

如图所示,光滑水平面AB与竖直面内的半圆形导轨在B点相接,导轨半径为R.一个质量为m的物体将弹簧压缩至A点后由静止释放,在弹力作用下物体获得某一向右速度后脱离弹簧,脱离弹簧后当它经过B点进入导轨瞬间对导轨的压力为其重力的7倍,之后向上运动完成半个圆周运动恰好到达C点.试求:
(1)弹簧开始时的弹性势能;
(2)物体从B点运动至C点克服阻力做的功;
(3)物体离开C点后落回水平面时的速度大小和方向.

查看答案和解析>>

科目:高中物理 来源: 题型:

如图所示,光滑水平面与一半径为R处在竖平面内的光滑圆轨道相切,质量为m的小球(可视为质点)以初速度v0向右运动进入圆轨道,在图中虚线位置脱离轨道,重力加速度为g,下述说法正确的是(  )

查看答案和解析>>

科目:高中物理 来源: 题型:

如图所示,光滑水平面MN左端挡板处有一弹射装置P,右端N与处于同一高度的水平传送带之间的距离可忽略,水平部分NQ的长度L=8m,皮带轮逆时针转动带动传送带以v=2m/s的速度匀速转动.MN上放置两个质量都为m=1.0kg的小物块A、B,它们与传送带间的动摩擦因数为μ=0.4.开始时,A、B静止,A、B间压缩一轻质弹簧,其弹性势能EP=16J.现解除锁定,弹开A、B,并迅速移走弹簧.
(1)求物块B被弹开时速度的大小;
(2)A与P相碰后静止,当物块B返回水平面MN后,A被P弹出,A、B相碰后粘在一起向右滑动,要使A、B连接体刚好从Q端滑出,求P对A做的功.

查看答案和解析>>

科目:高中物理 来源: 题型:

(2013?如东县模拟)如图所示,光滑水平面AB与竖直面内粗糙的半圆形导轨在B点衔接,BC为导轨的直径,与水平面垂直,导轨半径为R,一个质量为m的小球将弹簧压缩至A处.小球从A处由静止释放被弹开后,以速度v经过B点进入半圆形轨道,之后向上运动恰能沿轨道运动到C点,求:
(1)释放小球前弹簧的弹性势能;
(2)小球到达C点时的速度和落到水平面时离B点的距离;
(3)小球在由B到C过程中克服阻力做的功.

查看答案和解析>>

科目:高中物理 来源: 题型:

如图所示,光滑水平面内,一根细绳一端固定,另一端系一小球,现让小球在水平面内做匀速圆周运动,则(  )

查看答案和解析>>

同步练习册答案