精英家教网 > 高中物理 > 题目详情
如图所示,在竖直平面内,一质量为M的木制小球(可视为质点)悬挂于O点,悬线长为L。一质量为m的子弹以水平速度v0射入木球且留在其中,子弹与木球的相互作用时间极短,可忽略不计。
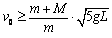
(1)求子弹和木球相互作用结束后的瞬间,它们共同速度的大小;
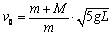
(2)若子弹射入木球后,它们能在竖直平面内做圆周运动,v0应为多大?
解:(1)由动量守恒
所以
(2)设小球在竖直平面内做圆周运动时,通过最高点的最小速度为v′,根据牛顿第二定律有
小球在竖直平面内做圆周运动的过程中机械能守恒,取小球做圆周运动的最低点所在水平面为零势能平面,所以
解得
练习册系列答案
相关习题

科目:高中物理 来源: 题型:

(2008?广州二模)如图所示,在竖直平面内有水平向右的匀强电场,同一竖直平面内水平拉直的绝缘细线一端系一带正电的小球,另一端固定于0点,已知带电小球受到的电场力大于重力,小球由静止释放,到达图中竖直虚线前小球做(  )

查看答案和解析>>

科目:高中物理 来源: 题型:

如图所示,在竖直平面内有一边长为L的正方形区域处在场强为E的匀强电场中,电场方向与正方形一边平行.一质量为m、带电量为q的小球由某一边的中点,以垂直于该边的水平初速V0进入该正方形区域.当小球再次运动到该正方形区域的边缘时,具有的动能可能为(  )

查看答案和解析>>

科目:高中物理 来源: 题型:

如图所示,在竖直平面内有一半圆形轨道,圆心为O,一质点小球从与圆心等高的圆形轨道上的A点以速度v0水平向右抛出,落于圆轨道上的C点,已知OC的连线与OA的夹角为θ,求小球从A到C的时间t=?(空气阻力不计)

查看答案和解析>>

科目:高中物理 来源: 题型:

精英家教网如图所示,在竖直平面内有一个粗糙的
16
圆弧轨道,其半径R=0.4m,轨道的最低点距地面高度h=1.25m.质量m=0.1kg的小滑块从轨道的最高点由静止释放,到达最低点时以一定的水平速度离开轨道,落地点距轨道最低点的水平距离s=0.8m.空气阻力不计,取g=l0m/s2,求:
(1)小滑块离开轨道时的速度大小;
(2)小滑块在轨道上运动的过程中,摩擦力所做的功.

查看答案和解析>>

科目:高中物理 来源: 题型:

精英家教网如图所示,在竖直平面内固定两个很靠近的同心圆形轨道,外轨道ABCD光滑,内轨道A′B′C′D′的上半部分B′C′D′粗糙,下半部分B′A′D′光滑,一质量m=0.2kg的小球从轨道的最低点A,以初速度v0向右运动,球的尺寸略小于两圆间距,已知圆形轨道的半径R=0.32m,取g=10m/s2
(1)若要使小球始终紧贴外圆做完整的圆周运动,初速度v0至少为多少
(2)若v0=3.8m/s,经过一段时间小球到达最高点,内轨道对小球的支持力F=2N,则小球在这段时间内克服摩擦力做的功是多少
(3)若v0=3.9m/s,经过足够长的时间后,小球将在BAD间做往复运动,则小球经过最低点A时受到的支持力为多少?小球在整个运动过程中减少的机械能是多少.

查看答案和解析>>

同步练习册答案