ÈçͼËùʾ£¬A¡¢BÖÊÁ¿·Ö±ðΪmA=1kg£¬mB=2kg£¬AB¼äÓõ¯»ÉÁ¬½Ó×Å£¬µ¯»Éµ¯ÐÔϵÊýk=100N/m£¬ÇáÉþÒ»¶ËϵÔÚAÉÏ£¬ÁíÒ»¶Ë¿ç¹ý¶¨»¬ÂÖ£¬BΪÌ×ÔÚÇáÉþÉϵĹ⻬Բ»·£¬ÁíÒ»Ô²»·C¹Ì¶¨ÔÚ×À±ß£¬B±»Cµ²×¡¶ø¾²Ö¹ÔÚCÉÏ£¬Èô¿ªÊ¼Ê±×÷ÓÃÔÚÉþ×ÓÁíÒ»¶ËµÄÀ­Á¦FΪÁ㣬´ËʱA´¦ÓÚ¾²Ö¹ÇÒ¸Õû½Ó´¥µØÃæ¡£ÏÖÓú㶨À­Á¦F=15NÀ­Éþ×Ó£¬Ç¡ÄÜʹBÀ뿪Cµ«²»ÄܼÌÐøÉÏÉý£¬²»¼ÆÄ¦²ÁÇÒµ¯»Éû³¬¹ýµ¯ÐÔÏÞ¶È£¬Çó
£¨1£©B¸ÕÒªÀ뿪CʱAµÄ¼ÓËÙ¶È,²¢¶¨ÐÔ»­³öAÀëµØÃæ¸ß¶ÈhËæÊ±¼ä±ä»¯µÄͼÏñ
£¨2£©Èô°ÑÀ­Á¦F¸ÄΪF=30N£¬ÔòB¸ÕÒªÀ뿪Cʱ£¬AµÄ¼ÓËٶȺÍËÙ¶È¡£
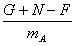
½â£º£¨1£©B¸ÕÒªÀ뿪CµÄʱºò£¬µ¯»É¶ÔBµÄµ¯Á¦N= mBg
AµÄÊÜÁ¦Í¼Èçͼ£¬ÓÉͼ¿ÉµÃ£º
aA==15m/s2
AÎïÌåµÄÔ˶¯Îª¼òгÔ˶¯£¬Æ½ºâλÖÃΪAËùÊܺÏÁ¦ÎªÁãµÄλÖ㬼´h=F/k=0.15m ËùÒÔÕñ·ùL=0.15m£¬
ËùÒÔh=L-Lcos£¬Í¼ÐÎÈçÏÂͼËùʾ
£¨2£©µ±F=0ʱ£¬µ¯»ÉµÄÉ쳤Á¿X1=mAg/k=0.1m
µ±F=15N£¬ÇÒAÉÏÉýµ½×î¸ßµãʱ£¬µ¯»ÉµÄѹËõÁ¿X2=mBg/k=0.2m
ËùÒÔAÉÏÉýµÄ¸ß¶Èh= X1+ X2=0.3m
AÉÏÉý¹ý³ÌÖУºFh=mAgh+¡÷Ep
ËùÒÔµ¯»Éµ¯ÐÔÊÆÄÜÔö¼ÓÁË¡÷Ep=1.5J
°ÑÀ­Á¦¸ÄΪF=30Nʱ£¬AÉÏÉý¹ý³ÌÖУºFh-mAgh-¡÷Ep=mBV2
µÃV=3m/s£¬a==0¡£
Á·Ï°²áϵÁдð°¸
Ïà¹ØÏ°Ìâ

¿ÆÄ¿£º¸ßÖÐÎïÀí À´Ô´£º ÌâÐÍ£º

ÈçͼËùʾ£¬A£®BÖÊÁ¿·Ö±ðΪmA=1kg£¬mB=2kg£¬AÓëС³µ±ÚµÄ¶¯Ä¦²ÁÒòÊýΪ0.5£¬BÓëС³µ¼äµÄĦ²Á²»¼Æ£¬ÒªÊ¹BÓëС³µ±£³ÖÏà¶Ô¾²Ö¹£¬ÇóС³µµÄ¼ÓËÙ¶ÈӦΪ¶à´ó£¿£¨Éè×î´ó¾²Ä¦²ÁÁ¦µÈÓÚ»¬¶¯Ä¦²ÁÁ¦£©

²é¿´´ð°¸ºÍ½âÎö>>

¿ÆÄ¿£º¸ßÖÐÎïÀí À´Ô´£º ÌâÐÍ£º

Ò»¿Å×Óµ¯£¬ÖÊÁ¿Îªm£¬ÒÔ³õËÙ¶Èv0ÏòÓÒÏȺó»÷´©·ÅÔÚ¹â»¬Ë®Æ½ÃæÉÏ¿¿ÔÚÒ»ÆðµÄA¡¢BÁ½ÍêÈ«ÏàͬÎïÌ壬ÈçͼËùʾ£¬A¡¢BÖÊÁ¿¾ùΪM£¬×Óµ¯ÔÚA¡¢BÖÐËùÊÜ×èÁ¦ºãΪf£¬ÔÚAÄÚ´©ÐÐʱ¼äΪt1£¬ÔÚBÄÚ´©ÐÐʱ¼äΪt2£¬Çó×Óµ¯ÔÚAÄÚ´©ÐÐÆÚ¼äA¡¢B¼äÏ໥×÷ÓÃÁ¦µÄ´óС¼°BµÄ×îÖÕËÙ¶È£®

²é¿´´ð°¸ºÍ½âÎö>>

¿ÆÄ¿£º¸ßÖÐÎïÀí À´Ô´£º ÌâÐÍ£º

ÈçͼËùʾ£¬A¡¢BÖÊÁ¿·Ö±ðΪmAºÍmB£¬µþ·ÅÔÚÇã½ÇΪ¦ÈµÄÐ±ÃæÉÏÒÔÏàͬµÄËÙ¶ÈÔÈËÙÏ»¬£¬Ôò£¨¡¡¡¡£©

²é¿´´ð°¸ºÍ½âÎö>>

¿ÆÄ¿£º¸ßÖÐÎïÀí À´Ô´£º ÌâÐÍ£º

ÈçͼËùʾ£¬A¡¢BÖÊÁ¿·Ö±ðΪmA=1kg£¬mB=2kg£¬AB¼äÓÃÇáÖʵ¯»ÉÁ¬½Ó×Å£¬µ¯»É¾¢¶ÈϵÊýk=100N/m£¬ÇáÉþÒ»¶ËϵÔÚAÉÏ£¬ÁíÒ»¶Ë¿ç¹ý¶¨»¬ÂÖ£¬BΪÌ×ÔÚÇáÉþÉϵĹ⻬Բ»·£¬ÁíÒ»Ô²»·C¹Ì¶¨ÔÚ×À±ß£¬B±»Cµ²×¡¶ø¾²Ö¹ÔÚCÉÏ£¬Èô¿ªÊ¼Ê±×÷ÓÃÔÚÉþ×ÓÁíÒ»¶ËµÄÀ­Á¦FΪÁ㣬´ËʱA´¦ÓÚ¾²Ö¹ÇÒ¸Õû½Ó´¥µØÃ森ÏÖÓú㶨À­Á¦F=15NÀ­Éþ×Ó£¬Ç¡ÄÜʹBÀ뿪Cµ«²»ÄܼÌÐøÉÏÉý£¬²»¼ÆÄ¦²ÁÇÒµ¯»Éû³¬¹ýµ¯ÐÔÏÞ¶È£¬Çó£º
£¨1£©B¸ÕÒªÀ뿪CʱAµÄ¼ÓËÙ¶È£»
£¨2£©Èô°ÑÀ­Á¦¸ÄΪF¡ä=30N£¬ÔòB¸ÕÒªÀ뿪Cʱ£¬AµÄ¼ÓËٶȺÍËÙ¶È£®

²é¿´´ð°¸ºÍ½âÎö>>

¿ÆÄ¿£º¸ßÖÐÎïÀí À´Ô´£º ÌâÐÍ£º

£¨2011?Õã½­Ä£Ä⣩ÈçͼËùʾ£¬A¡¢BÖÊÁ¿·Ö±ðΪmA=1kg£¬mB=2kg£¬AB¼äÓõ¯»ÉÁ¬½Ó×Å£¬µ¯»Éµ¯ÐÔϵÊýk=100N/m£¬ÇáÉþÒ»¶ËϵÔÚAÉÏ£¬ÁíÒ»¶Ë¿ç¹ý¶¨»¬ÂÖ£¬BΪÌ×ÔÚÇáÉþÉϵĹ⻬Բ»·£¬ÁíÒ»Ô²»·C¹Ì¶¨ÔÚ×À±ß£¬B±»Cµ²×¡¶ø¾²Ö¹ÔÚCÉÏ£¬Èô¿ªÊ¼Ê±×÷ÓÃÔÚÉþ×ÓÁíÒ»¶ËµÄÀ­Á¦FΪÁ㣬´ËʱA´¦ÓÚ¾²Ö¹ÇÒ¸Õû½Ó´¥µØÃ森ÏÖÓú㶨À­Á¦F=15NÀ­Éþ×Ó£¬Ç¡ÄÜʹBÀ뿪Cµ«²»ÄܼÌÐøÉÏÉý£¬²»¼ÆÄ¦²ÁÇÒµ¯»Éû³¬¹ýµ¯ÐÔÏÞ¶È£¬Çó
£¨1£©B¸ÕÒªÀ뿪CʱAµÄ¼ÓËÙ¶È£¬²¢¶¨ÐÔ»­³öAÀëµØÃæ¸ß¶ÈhËæÊ±¼ä±ä»¯µÄͼÏó
£¨2£©Èô°ÑÀ­Á¦F¸ÄΪF=30N£¬ÔòB¸ÕÒªÀ뿪Cʱ£¬AµÄ¼ÓËٶȺÍËÙ¶È£®

²é¿´´ð°¸ºÍ½âÎö>>

ͬ²½Á·Ï°²á´ð°¸