精英家教网 > 高中物理 > 题目详情
如图所示,有A、B两个行星绕同一恒星O沿不同轨道做匀速圆周运动,旋转方向相同.A行星的周期为T1,B行星的周期为T2,在某一时刻两行星第一次相遇(即两行星距离最近),则( )

A.经过时间t=T1+T2两行星将第二次相遇
B.经过时间两行星将第二次相遇
C.经过时间,两行星将第一次相距最远
D.经过时间,两行星将第一次相距最远
【答案】分析:人造卫星在不同的轨道上运动,先求出角速度,再一次追上B多转动一圈,多转动半圈时相距最远.
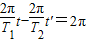
解答:解:A、B、多转动一圈时,第二次追上,有

解得

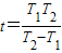
故A错误,B正确;
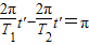
C、D、多转动半圈时,第一次相距最远,有

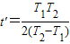
解得

故C错误,D正确;
故选BD.
点评:本题是有关转动的追击问题,每次多转动一圈后追上一次,多转动(n+)圈相距最远.
练习册系列答案
相关习题

科目:高中物理 来源: 题型:

如图所示,有A、B两个行星绕同一恒星O沿不同轨道做匀速圆周运动,旋转方向相同.A行星的周期为T1,B行星的周期为T2,在某一时刻两行星第一次相遇(即两行星距离最近),则(  )

查看答案和解析>>

科目:高中物理 来源: 题型:

精英家教网如图所示,有A、B两颗行星绕同一恒星O做圆周运动,运转方向相同,A行星的周期为T1,B行星的周期为T2,在某一时刻两行星第一次相遇(即相距最近),则(  )
A、经过时间t=T1+T2两行星将第二次相遇
B、经过时间t=
T1T2
T2-T1
两行星将第二次相遇
C、经过时间t=
T1+T2
2
两行星第一次相距最远
D、经过时间t=
T1T2
2(T2-T1)
两行星第一次相距最远

查看答案和解析>>

科目:高中物理 来源: 题型:

如图所示,有AB两质量为M= 100kg的小车,在光滑水平面以相同的速率v0=2m/s在同一直线上相对运动,A车上有一质量为m = 50kg的人至少要以多大的速度(对地)从A车跳到B车上,才能避免两车相撞?

查看答案和解析>>

科目:高中物理 来源: 题型:

如图所示,有AB两质量为M= 100kg的小车,在光滑水平面以相同的速率v0=2m/s在同一直线上相对运动,A车上有一质量为m = 50kg的人至少要以多大的速度(对地)从A车跳到B车上,才能避免两车相撞?

查看答案和解析>>

科目:高中物理 来源:2012年冠县武训高中高考模拟预测理综物理试卷(带解析) 题型:计算题

如图所示,有A、B两质量为M= 100kg的小车,在光滑水平面以相同的速率v0=2m/s在同一直线上相对运动,A车上有一质量为m = 50kg的人至少要以多大的速度(对地)从A车跳到B车上,才能避免两车相撞?

查看答案和解析>>

同步练习册答案