精英家教网 > 高中物理 > 题目详情

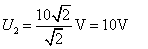
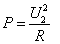
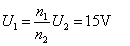
图甲是小型交流发电机的示意图,A为理想交流电流表,V为理想交流电压表。内阻不计的矩形线圈绕垂直于磁场方向的水平轴沿逆时针方向匀速转动,矩形线圈通过滑环接一理想变压器,原、副线圈匝数比为3∶2,副线圈接有滑动变阻器,从某时刻开始计时,副线圈输出电压如图乙所示,以下判断正确的是

A.电压表的示数为15V

B.副线圈输出电压瞬时值表达式V

C.若滑动触头P的位置向上移动时,电流表读数将减小

D.把发电机线圈的转速变为原来的一半,则变压器的输入功率将减小到原来的一半


ABC

【解析】

试题分析:次级电压有效值为,初级电压即电压表读数为:,选项A正确;交流电的周期T=2×10-2s,则,故副线圈输出电压瞬时值表达式 V,选项B正确;若滑动触头P的位置向上移动时,电阻R增大,次级电流减小,则初级电流减小,则电流表读数将减小,选项C正确;把发电机线圈的转速变为原来的一半,根据可知,交流电压最大值变为一半,变压器的输入电压减半,次级电压减半,根据可知,次级功率变为原来的四分之一,则变压器的输入功率将减小到原来的四分之一,选项D错误;故选ABC。

考点:交流电的产生;变压器。

练习册系列答案
相关习题

科目:高中物理 来源: 题型:


如图所示,在足够大的空间范围内,同时存在着竖直向上的匀强电场和垂直纸面向里的水平匀强磁场,磁感应强度B=1.57T。小球1带正电,其电量与质量之比q1/m1=4C/kg,所受重力与电场力的大小相等;小球2不带电,静止放置于固定的水平悬空支架上。小球1向右以υ0=23.59m/s的水平速度与小球2正碰,碰后经过0.75s再次相碰。设碰撞前后两小球带电情况不发生改变,且始终保持在同一竖直平面内。(取g=10m/s2

问:(1)电场强度E的大小是多少?

   (2)两小球的质量之比

查看答案和解析>>

科目:高中物理 来源: 题型:


N个长度逐个增大的金属圆筒和一个靶,它们沿轴线排列成一串,如图所示(图中只画出了六个圆筒,作为示意).各筒和靶相间地连接到频率为υ、最大电压值为U的正弦交流电源的两端.整个装置放在高真空容器中.圆筒的两底面中心开有小孔.现有一电量为q、质量为m的正离子沿轴线射入圆筒,并将在圆筒间及圆筒与靶间的缝隙处受到电场力的作用而加速(设圆筒内部没有电场).缝隙的宽度很小,离子穿过缝隙的时间可以不计.已知离子进入第一个圆筒左端的速度为v1,且此时第一、二两个圆筒间的电势差V1-V2=-U.为使打到靶上的离子获得最大能量,各个圆筒的长度应满足什么条件?并求出在这种情况下打到靶上的离子的能量.

查看答案和解析>>

科目:高中物理 来源: 题型:


一小球从静止开始做匀加速直线运动,在第15s内的位移比第14s内的位移多0.2m,则下列说法正确的是( )

A.小球加速度为0.2m/s2           B.小球第15s内的位移为2.9m

C.小球第14s的初速度为2.6m/s  D.小球前15s内的平均速度为3.0m/s

查看答案和解析>>

科目:高中物理 来源: 题型:


如图所示,在xOy直角坐标系中,第Ⅰ象限内分布着方向垂直纸面向里的匀强磁场,第Ⅱ象限内分布着方向沿y轴负方向的匀强电场.初速度为零、带电荷量为q、质量为m的粒子经过电压为U的电场加速后,从x轴上的A点垂直x轴进入磁场区域,经磁场偏转后过y轴上的P点且垂直y轴进入电场区域,在电场中偏转并击中x轴上的C点.已知OAOCd.求电场强度E和磁感应强度B的大小(粒子的重力不计).

查看答案和解析>>

科目:高中物理 来源: 题型:


如图所示,理想变压器原线圈输入电压u=Umsint,副线圈电路中R0为定值电阻,R是滑动变阻器。是理想交流电压表,示数分别用U1和U2表示;是理想交流电流表,示数分别用I1和I2表示。下列说法正确的是

A.I1和I2表示电流的平均值

B.U1和U2表示电压的最大值

C.滑片P向下滑动过程中,U2不变、I1变大

D.滑片P向下滑动过程中,U2变小、I2变大

查看答案和解析>>

科目:高中物理 来源: 题型:


如果家里的微波炉(1000W)、电视机(100W)和洗衣机(400W)平均每天都工作1h,一个月(30天计)的用电量是

A.10kW·h         B.20kW·h          C.45kW·h         D.40kW·h

查看答案和解析>>

科目:高中物理 来源: 题型:


如图所示,两根平行金属导轨与水平面间的夹角α=30°,导轨间距为l = 0.50m,金属杆ab、cd的质量均为m=1.0kg,电阻均为r = 0.10Ω,垂直于导轨水平放置.整个装置处于匀强磁场中,磁场方向垂直于轨道平面向上,磁感应强度B = 2.0T.用平行于导轨方向的拉力拉着ab杆沿轨道以某一速度匀速上升时,cd杆保持静止.不计导轨的电阻,导轨和杆ab、cd之间是光滑的,重力加速度g =10m/s2.求:

(1)回路中感应电流I的大小.

(2)拉力做功的功率.

(3)若某时刻将cd杆固定,同时将ab杆上拉力F增大至原来的2倍,求当ab杆速度v1=2m/s时杆的加速度和回路电功率P1

查看答案和解析>>

科目:高中物理 来源: 题型:


转笔(Pen Spinning)是一项用不同的方法与技巧、以手指来转动笔的休闲活动,如图所示。转笔深受广大中学生的喜爱,其中也包含了许多的物理知识,假设某转笔高手能让笔绕其上的某一点O做匀速圆周运动,下列有关该同学转笔中涉及到的物理知识的叙述正确的是(    )

A. 笔杆上的点离O点越近的,做圆周运动的向心加速度越大;

B. 笔杆上的各点做圆周运动的向心力是由万有引力提供的;

C. 若该同学使用中性笔,笔尖上的小钢珠有可能因快速的转动做离心运动被甩走;

D. 若该同学使用的是金属笔杆,且考虑地磁场的影响,由于笔杆中不会产生感应电流,因此金属笔杆两端一定不会形成电势差。

查看答案和解析>>

同步练习册答案