精英家教网 > 高中物理 > 题目详情

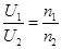
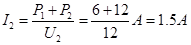
理想变压器原、副线圈匝数比为20:1,两个分别标有“12V,6W”、“12V,12W”的小灯泡并联在副线圈的两端,当两灯泡都正常工作时,原线圈电路中电压表和电流表(可视为理想的)的示数分别是(        )

A.120V,0.10A          B.240V,0.025A

C.120V,0.05A          D.240V,0.075A

 

【答案】

D

【解析】

试题分析:灯泡正常工作,电压为额定电压,所以副线圈电压U2 = 12V,电流.根据变压器原副线圈电压与线圈匝数的关系得,解得:U1 = 240V.根据变压器原副线圈电流与线圈匝数的关系得,解得: I1 = 0.075A.所以电压表和电流表的示数分别为:240V,0.075A.故选D

考点:本题考查变压器的构造和原理;理想变压器的电压、电流之间的关系

 

练习册系列答案
相关习题

科目:高中物理 来源: 题型:

(2012?邯郸模拟)如图甲所示,理想变压器原、副线圈的匝数比为4:1,电压表和电流表均为理想电表,原线圈接如图乙所示的正弦交流电,图甲中的R1为热敏电阻(温度升高时其电阻减小),R为定值电阻.下列说法正确的是(  )

查看答案和解析>>

科目:高中物理 来源: 题型:

一理想变压器原、副线圈匝数比n1:n2=11:5.原线圈与正弦交变电源连接,输入电压u如图所示.副线圈仅接入一个10Ω的电阻.则(  )

查看答案和解析>>

科目:高中物理 来源: 题型:

(2013?南通一模)如图所示的电路中,理想变压器原、副线圈的匝数比n1:n2=22:5,原线圈接u1=220
2
sin100πt(V)
的交流电,电阻R1=R2=25Ω,D为理想二极管,则(  )

查看答案和解析>>

科目:高中物理 来源: 题型:

精英家教网如图甲所示,理想变压器原、副线圈的匝数比 n1:n2=3:1,L1、L2为两相同灯泡,R、L、D和C分别为定值电阻、理想线圈、理想二极管和电容器,其中C=10μF.当原线圈两端接如图乙所示的正弦交流电压时,下列说法中正确的是(  )

查看答案和解析>>

科目:高中物理 来源: 题型:

精英家教网如图甲所示,理想变压器原、副线圈的匝数比nl:n2=4:1,原线圈接图乙所示的正弦交流电,副线圈与理想电压表、理想电流表、热敏电阻RT(阻值随温度的升高而减小)及报警器P组成闭合电路,回路中电流增加到一定值时报警器P将发出警报声.则以下判断正确的是(  )
A、变压器副线圈中交流电压u的表达式u=9
2
sin100πtV
B、电压表示数为9V
C、RT处温度升高到一定值时,报警器P将会发出警报声
D、RT处温度升高时,变压器的输入功率变小

查看答案和解析>>

同步练习册答案