精英家教网 > 高中物理 > 题目详情
两颗人造地球卫星质量之比m1:m2=1:2,轨道半径之比R1:R2=3:1,下列有关数据之比正确的是( )
A.周期之比T1:T2=3:1
B.线速度之比v1:v2=3:1
C.向心力之比F1:F2=1:9
D.向心加速度之比a1:a2=1:9
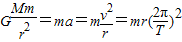
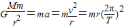
【答案】分析:根据万有引力提供向心力,根据得出周期、线速度、向心力、向心加速度之比.
解答:解:根据得,a=,v=,T=.所以
.因为两颗人造地球卫星质量之比m1:m2=1:2,所以向心力之比.故D正确,A、B、C错误.
故选D.
点评:解决本题的关键掌握线速度、向心加速度、周期与轨道半径的关系.
练习册系列答案
相关习题

科目:高中物理 来源: 题型:

两颗人造地球卫星质量之比m1:m2=1:2,轨道半径之比R1:R2=3:1,下列有关数据之比正确的是(  )

查看答案和解析>>

科目:高中物理 来源: 题型:

两颗人造地球卫星质量的比m1:m2=1:2,轨道半径之比r1:r2=3:1.求这两颗卫星运行的周期之比T1:T2=
3
3
:1
3
3
:1
;线速度之比v1:v2=
1:
3
1:
3

查看答案和解析>>

科目:高中物理 来源: 题型:

两颗人造地球卫星质量之比为m1:m2=3:1,绕地球做匀速圆周运动的轨道半径之比为r1:r2=1:2,则它们的线速度大小之比V1:V2=
2
:1
2
:1
;角速度之比为ω1:ω2=
2
2
:1
2
2
:1
;周期之比T1:T2=
1:2
2
1:2
2
;地球对它们的万有引力大小之比F1:F2=
12:1
12:1

查看答案和解析>>

科目:高中物理 来源: 题型:

甲、乙两颗人造地球卫星质量之比是4:1,轨道半径之比是4:1,下列说法正确的是(  )

查看答案和解析>>

科目:高中物理 来源: 题型:

有两颗人造地球卫星质量之比为1:2,绕地球运动的轨道半径之比为3:1,下述正确的是(  )

查看答案和解析>>

同步练习册答案