精英家教网 > 高中物理 > 题目详情

待测电阻Rx的阻值约为20Ω,现要测量其阻值,实验室提供器材如下:

A、电流表A1(量程150mA,内阻约为10Ω)

B、电流表A2(量程20mA,内阻r2=30Ω)

C、电压表V(量程15V,内阻约为3000Ω)

D、定值电阻R0=100Ω

E、滑动变阻器R1,最大阻值为5Ω,额定电流为1.0A

F、滑动变阻器R2,最大阻值为5Ω,额定电流为0.5A

G、电源E,电动势E=4V(内阻不计)

H、电键S及导线若干

(1)为了使电表调节范围较大,测量准确,测量时电表读数不得小于其量程的,请从所给的器材中选择合适的实验器材    (均用器材前对应的序号字母填写);

(2)根据你选择的实验器材,请你在虚线框内画出测量Rx的最佳实验电路图并标明元件符号;

(3)待测电阻的表达式为Rx=,式中各符号的物理意义为     


考点:伏安法测电阻.

专题:实验题;恒定电流专题.

分析:(1)实验需要电源、导线,然后根据题目要求选择电流表、电压表、滑动变阻器.

(2)根据实验原理及所选实验器材设计实验电路.

(3)根据电路结构、应用欧姆定律可以求出待测电阻阻值的表达式.

解答:  解:(1)由于电源电动势为4V,电压表V量程为15V,达不到其量程的三分之一,故电压表不能使用;可用电流表A2与定值电阻R0串联扩大其电压量程,当作电压表与电流表A1配合使用伏安法测量待测电阻阻值,由于改装的电压表内阻已知,故电流表A1采用外接法,改装的电压表电压量程为20mA×130Ω=2.6V,滑动变阻器最大阻值为5Ω,无法起到限流作用,故滑动变阻器采用分压式接法;此时考虑到干路最小电流约为=0.8A,故滑动变阻器只能选择R1,经过估算当电流表

A1满偏时,电流表A2也正好满篇,非常匹配,因此满足电表读数不得小于量程的三分之一,故器材选择A、B、D、E、G、H.

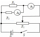
(2)电流表A2与定值电阻R0串联组成电压表,滑动变阻器采用分压接法,电流表采用外接法,实验电路图如图所示.

(3)待测电阻两端电压U=I2(R0+r2),通过待测电阻的电流IX=I1﹣I2,待测电阻Rx==,其中I1、I2分别为电流表A1和A2的示数,R0和r2分别为定值电阻和电流表A2的阻值.

故答案为:(1)A、B、D、E、G、H;(2)电路图如图所示;

(3);I1、I2分别为 A1和A2表示数,R0与r2分别为定值电阻和A2内阻的阻值.

点评:本题考查了实验器材的选取,实验器材的选取是本题的难点,也是正确解题的关键,选择实验器材时,既要符合题目要求,又要满足:安全性原则、精确性原则与方便实验操作性原则.


练习册系列答案
相关习题

科目:高中物理 来源: 题型:


如图为“高分一号”卫星与北斗导航系统中的“G1”卫星,在空中某一平面内绕地心O做匀速圆周运动的示意图.已知卫星“G1”的轨道半径为r,地球表面的重力加速度为g,地球半径为R,万有引力常量为G.则(     )

  A.“高分一号”的加速度小于卫星“G1”的加速度

  B.“高分一号”的运行速度大于第一宇宙速度

  C.地球的质量为

  D.卫星“G1”的周期为

查看答案和解析>>

科目:高中物理 来源: 题型:


图甲为远距离输电示意图,升压变压器原副线圈匝数比1:100,降压变压器原副线圈匝数比为100:1,远距离输电线的总电阻为100Ω.若升压变压器的输入电压如图乙所示,输入功率为750kw.下列说法中正确的有(     )

  A.客户端交流电的频率为100Hz

  B.客户端电压为250V

  C.输电线中的电流为30A

  D.输电线路损耗功率为180Kw

查看答案和解析>>

科目:高中物理 来源: 题型:


2013年12月14日21时许,嫦娥三号携带“玉兔”探测车在月球虹湾成功软着陆,在实施软着陆过程中,嫦娥三号离月球表面4m高时最后一次悬停,确认着陆点.若总质量为M的嫦娥三号在最后一次悬停时,反推力发动机对其提供的反推力为F,已知引力常量为G,月球半径为R,则月球的质量为(     )

  A.           B.          C.           D.

查看答案和解析>>

科目:高中物理 来源: 题型:


在一次观察光衍射的实验中,观察到如图所示的清晰的明暗相间图样那么障碍物应是(黑线为暗纹)(     )

  A.很小的不透明的圆板

  B.很大的中间有大圆孔的不透明的圆板

  C.很大的不透明圆板

  D.很大的中间有小圆孔的不透明圆板

查看答案和解析>>

科目:高中物理 来源: 题型:


质量为m的物体由静止开始做直线运动,物体所受合力F随时间t变化的图象如图所示.关于物体在0~8s内的运动,下列说法正确的是(     )

  A.物体在0~4s内做匀变速直线运动

  B.物体在第4s末速度最大

  C.物体在第8s末离出发点最远

  D.物体在第6s末速度的大小为

查看答案和解析>>

科目:高中物理 来源: 题型:


某同学利用游标卡尺和螺旋测微器分别测量一金属圆柱体的外直径D和厚度d,测量的示数如图所示,该金属圆柱体的外直径D为     cm,厚度d为    mm.

查看答案和解析>>

科目:高中物理 来源: 题型:


如图所示,两平行光滑金属导轨相距L固定在水平绝缘台面上,半径为 R1、R2光滑圆弧导轨与水平直导轨平滑连接,水平直导轨部分处在磁感应强度为B、方向竖直向上的匀强磁场中.两金属棒ab、cd垂直两导轨且与导轨接触良好,ab棒质量为2m、电阻为r,cd棒质量为m、电阻为r.开始时cd棒静止在水平直导轨上,ab棒从圆弧导轨的顶端无初速释放,最后两棒都离开轨道落到地面上.导轨电阻不计 并且水平导轨足够长,ab与cd棒在运动过程始终没有接触.求:

(1)cd棒在水平直导轨上的最大加速度.

(2)为确保两棒都能脱离圆形轨道水平飞出,R1与R2的比值至少应满足什么条件.

查看答案和解析>>

科目:高中物理 来源: 题型:


如图所示,完全相同的甲、乙两个环形电流同轴平行放置,甲的圆心为O1,乙的圆心为O2,O1、O2两环圆心的连线上有a、b、c三点,其中ao1=o1b=bo2=o2c,此时a点的磁感应强度为B1,b点的磁感应强度为B2,那么当把环形电流乙撤去后,c点的磁感强度大小为    ,方向   (填“向左”或“向右”).

查看答案和解析>>

同步练习册答案