精英家教网 > 高中物理 > 题目详情
如图所示,在光滑水平轨道上有一小车质量为2m,它下面用长为L的绳系一质量也为2m的小砂袋,系统原来处于静止。今有以水平速度V0水平射来的质量为m的子弹,它射入砂袋后并不穿出(射入时间极短)而与砂袋一起摆动。不计悬线质量,试求:
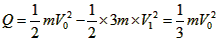
(1)子弹射入砂袋过程的发热量Q。
(2)子弹和砂袋能达到的最大高度h。
解:(1)机械能转化为内能: 
(2)动量守恒: mV0=(2m+m+2m)V2 
V2=
机械能守恒: 
解得:
练习册系列答案
相关习题

科目:高中物理 来源: 题型:

(2008?黄冈模拟)如图所示,在光滑水平面上直线MN右侧有垂直于水平面的匀强磁场,一个电阻为R的矩形线框abcd受到水平向左的恒定拉力作用,以一定的初速度向右进入磁场,经过一段时间后又向左离开磁场.在整个运动过程中ab边始终平行于MN.则线框向右运动进入磁场和向左运动离开磁场这两个过程中(  )

查看答案和解析>>

科目:高中物理 来源: 题型:

如图所示,在光滑水平面上有木块A和B,mA=0.5kg,mB=0.4kg,它们的上表面是粗糙的,今有一小铁块C,mC=0.1kg,以初速v0=20m/s沿两木块表面滑过,最后停留在B上,此时B、C以共同速度v=3m/s运动,求:
(1)A运动的速度vA=?
(2)小铁块C刚离开A时的速度vC′=?

查看答案和解析>>

科目:高中物理 来源: 题型:

如图所示,在光滑水平面上放着长为L,质量为M的长木板,在长木板左端放一质量为m的物块(可视为质点),开始时物体和长木板均处于静止状态,物块和长木板间是粗糙的.今对物块m施一水平向右的恒力F.下列判断正确的是(  )

查看答案和解析>>

科目:高中物理 来源: 题型:

精英家教网如图所示,在光滑水平面上放有质量为2kg的长木板B,模板B右端距竖直墙s=4m,木板B上有一质量为1kg的金属块A,金属块A和木版B间滑动摩擦因数μ=0.20.开始A以υo=3m/s的初速度向右运动,木板B很长,A不会从B上滑下,木板B与竖直墙碰撞后以碰前速率返回,且碰撞时间极短.g取10m/s2.求
(1)木半B碰墙前,摩擦力对金属块A做的功
(2)A在B上滑动过程中产生的热量
(3)A在B上滑动,A相对B滑动的路程L.

查看答案和解析>>

科目:高中物理 来源: 题型:

精英家教网如图所示,在光滑水平面上静止着一块质量为M=5kg的长方体木板A,木板的左端静止放置着一质量为m=2kg的物块B,已知AB之间动摩擦因数μ=0.5,经过实验发现当对物块B施加一个大小为16N水平向右的拉力F后经过2s物块B被拉到木板的右端,g取10m/s2,求:
(1)2s内木板A的位移与2s末木板A的速度;
(2)要使B在A上运动的对地加速度是A对地加速度的2倍则加在物块上水平向右的拉力应为多大?

查看答案和解析>>

同步练习册答案