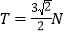
¡¾ÌâÄ¿¡¿ÈçͼËùʾ£¬Ò»Ï¸ÏßµÄÒ»¶Ë¹Ì¶¨ÓÚÇã½ÇΪ
µÄ¹â»¬Ð¨Ðλ¬¿éAÉϵĶ¥¶ËO´¦£¬Ï¸ÏßÁíÒ»¶Ë˩һÖÊÁ¿Îªm=0.2kgµÄСÇò¾²Ö¹ÔÚAÉÏ¡£Èô»¬¿é´Ó¾²Ö¹Ïò×óÔȼÓËÙÔ˶¯Ê±¼ÓËÙ¶ÈΪa¡£(È¡
.£©
![]()
A. µ±a=5m/s2ʱ£¬ÏßÖÐÀÁ¦Îª![]()
B. µ±a=10m/s2ʱ, СÇòÊܵÄÖ§³ÖÁ¦Îª![]()
C. µ±a=12m/s2ʱ, ¾¹ý1ÃëÖÓСÇòÔ˶¯µÄË®Æ½Î»ÒÆÊÇ6m
D. ÔÚÎȶ¨ºó£¬µØÃæ¶ÔAµÄÖ§³ÖÁ¦Ò»¶¨Ð¡ÓÚÁ½¸öÎïÌåµÄÖØÁ¦Ö®ºÍ
¡¾´ð°¸¡¿A
¡¾½âÎö¡¿µ±Ð¡Çò¶Ô»¬¿éµÄѹÁ¦Ç¡ºÃµÈÓÚÁãʱ£¬Ð¡ÇòËùÊÜÖØÁ¦mgºÍÀÁ¦TʹСÇòËæ»¬¿éÒ»ÆðÑØË®Æ½·½ÏòÏò×ó¼ÓËÙÔ˶¯£¬ÓÉÅ£¶ÙÔ˶¯¶¨ÂɵÃСÇòºÍ»¬¿é¹²Í¬µÄ¼ÓËÙ¶ÈΪ£º
¡£µ±
ʱ£¬Ð±Ãæ¶ÔСÇòÓÐÖ§³ÖÁ¦£¬½«Ð¡ÇòËùÊܵÄÁ¦ÑؼÓËÙ¶È·½ÏòºÍ´¹Ö±ÓÚ¼ÓËÙ¶È·½Ïò·Ö½â£¬ÓУº
£¬
£¬ÁªÁ¢½âµÃ£º
£¬¹ÊAÕýÈ·£»µ±
ʱ£¬Ð±Ãæ¶ÔСÇòÇ¡ºÃûÓÐÖ§³ÖÁ¦£¬¹ÊN=0£¬¹ÊB´íÎó£»µ±
ʱ£¬»¬¿éµÄÎ»ÒÆÎª
£¬¶øÐ¡ÇòÒªÏÈÍÑÀëÐ±Ãæ£¬È»ºó±£³ÖÓ뻬¿éÏàͬµÄÔ˶¯×´Ì¬£¬¹ÊÔÚÕâ1sÄÚСÇòÔ˶¯µÄË®Æ½Î»ÒÆÐ¡ÓÚ6m£¬¹ÊC´íÎó£»ÔÚÎȶ¨ºó£¬¶ÔСÇòºÍ»¬¿éAÕûÌåÊÜÁ¦·ÖÎö¿ÉÖª£¬ÔÚÊúÖ±·½ÏòûÓмÓËÙ¶È£¬¹ÊµØÃæ¶ÔAµÄÖ§³ÖÁ¦µÈÓÚÁ½¸öÎïÌåÖØÁ¦Ö®ºÍ£¬¹ÊD´íÎó£»¹ÊÑ¡A¡£
| Äê¼¶ | ¸ßÖÐ¿Î³Ì | Äê¼¶ | ³õÖÐ¿Î³Ì |
| ¸ßÒ» | ¸ßÒ»Ãâ·Ñ¿Î³ÌÍÆ¼ö£¡ | ³õÒ» | ³õÒ»Ãâ·Ñ¿Î³ÌÍÆ¼ö£¡ |
| ¸ß¶þ | ¸ß¶þÃâ·Ñ¿Î³ÌÍÆ¼ö£¡ | ³õ¶þ | ³õ¶þÃâ·Ñ¿Î³ÌÍÆ¼ö£¡ |
| ¸ßÈý | ¸ßÈýÃâ·Ñ¿Î³ÌÍÆ¼ö£¡ | ³õÈý | ³õÈýÃâ·Ñ¿Î³ÌÍÆ¼ö£¡ |
¿ÆÄ¿£º¸ßÖÐÎïÀí À´Ô´£º ÌâÐÍ£º
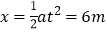
¡¾ÌâÄ¿¡¿ÈçͼËùʾ£¬Ë®Æ½¹â»¬µØÃæÉÏÍ£·Å×ÅÒ»Á¾Ð¡³µ£¬×ó²à¿¿ÔÚÊúֱǽ±ÚÉÏ£¬Ð¡³µµÄËÄ·ÖÖ®Ò»Ô²»¡¹ìµÀABÊǹ⻬µÄ£¬ÔÚ×îµÍµãBÓëˮƽ¹ìµÀBCÏàÇУ¬BCµÄ³¤¶ÈÊÇÔ²»¡°ë¾¶µÄ10±¶£¬Õû¸ö¹ìµÀ´¦ÓÚͬһÊúÖ±Æ½ÃæÄÚ£¬¿ÉÊÓΪÖʵãµÄÎï¿é´ÓAµãÕýÉÏ·½Ä³´¦ÎÞ³õËÙ¶ÈÏÂÂ䣬ǡºÃÂäÈëС³µÔ²»¡¹ìµÀ»¬¶¯£¬È»ºóÑØË®Æ½¹ìµÀÖÁ¹ìµÀÄ©¶ËC´¦Ç¡ºÃûÓл¬³ö£¬ÒÑÖªÎï¿éµ½´ïÔ²»¡¹ìµÀ×îµÍµãB¶Ô¹ìµÀµÄѹÁ¦ÊÇÎï¿éÖØÁ¦µÄ9±¶£¬Ð¡³µµÄÖÊÁ¿ÊÇÎï¿éµÄ3±¶£¬²»¿¼ÂÇ¿ÕÆø×èÁ¦ºÍÎï¿éÂäÈëÔ²»¡¹ìµÀʱµÄÄÜÁ¿Ëðʧ£¬Çó£º
![]()
¢ÙÎï¿é¿ªÊ¼ÏÂÂäµÄλÖþàˮƽ¹ìµÀBCµÄÊúÖ±¸ß¶ÈÊÇÔ²»¡°ë¾¶µÄ¼¸±¶£»
¢ÚÎï¿éÓëˮƽ¹ìµÀBC¼äµÄ¶¯Ä¦²ÁÒòÊý
¡£
²é¿´´ð°¸ºÍ½âÎö>>
¿ÆÄ¿£º¸ßÖÐÎïÀí À´Ô´£º ÌâÐÍ£º
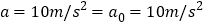
¡¾ÌâÄ¿¡¿ÔÚ¡°Ì½¾¿Ð¡³µËÙ¶ÈËæÊ±¼ä±ä»¯µÄ¹æÂÉ¡±µÄʵÑéÖУ¬Èçͼ¸ø³öÁË´Ó0µã¿ªÊ¼£¬Ã¿5¸öµãȡһ¸ö¼ÆÊýµãµÄÖ½´ø£¬ÆäÖÐ0¡¢1¡¢2¡¢3¡¢4¡¢5¡¢6¶¼Îª¼ÆÊýµã£®²âµÃx1£½1.40 cm£¬x2£½1.90 cm£¬x3£½2.38 cm£¬x4£½2.88 cm£¬x5£½3.39 cm£¬x6£½3.87 cm¡£ÄÇô
![]()
(1)ÔÚ¼ÆÊ±Æ÷´ò³öµã1¡¢2¡¢3¡¢4¡¢5ʱ£¬Ð¡³µµÄËÙ¶È·Ö±ðΪ£º
v1£½______m/s£¬v2£½______m/s£¬v3£½______m/s£¬v4£½______m/s£¬v5£½______m/s¡£
![]()
(2)ÔÚÆ½ÃæÖ±½Ç×ø±êϵÖÐ×÷³öv-tͼÏó_________¡£
(3)·ÖÎöС³µÔ˶¯ËÙ¶ÈËæÊ±¼ä±ä»¯µÄ¹æÂÉ_______¡£
²é¿´´ð°¸ºÍ½âÎö>>
¿ÆÄ¿£º¸ßÖÐÎïÀí À´Ô´£º ÌâÐÍ£º
¡¾ÌâÄ¿¡¿ÌøÌ¨»¬Ñ©ÊÇ»¬Ñ©°®ºÃÕßϲ»¶µÄÒ»ÖÖÔ˶¯£¬Ä³»¬Ñ©¹ìµÀ¿ÉÒÔ¼ò»¯³ÉÈçͼËùʾµÄʾÒâͼ£®ÆäÖÐÖú»¬Ñ©µÀCB¶ÎÓëˮƽ·½Ïò¼Ð½Ç¦Á=30¡ã£¬BO¶ÎÊÇˮƽÆðÌøÌ¨£¬OA¶ÎÊÇ׎ѩµÀ£¬ CB¶ÎÓëBO¶ÎÓÃһС¶Î¹â»¬Ô²»¡ÏàÁ¬£¬Ô˶¯Ô±´ÓÖú»¬Ñ©µÀCBÉϵÄCµãÔÚ×ÔÉíÖØÁ¦×÷ÓÃÏÂÓɾ²Ö¹¿ªÊ¼Ô˶¯£¬»¬µ½Oµãˮƽ·É³ö£¬²»¼Æ¿ÕÆø×èÁ¦£¬¾2sÔÚˮƽ·½Ïò·ÉÐÐÁË40m£¬ÂäÔÚ׎ѩµÀÉϵÄAµã£¬ÒÑÖªÔ˶¯Ô±ºÍ×°±¸µÄ×ÜÖÊÁ¿Îª50kg£¬Cµã¾àOµãµÄÊúÖ±¸ß¶ÈΪ25m£¨gÈ¡10m/s2£©Çó£º
![]()
£¨1£©Ô˶¯Ô±À뿪OµãʱµÄËÙ¶È´óС
£»
£¨2£©Ô˶¯Ô±¼´½«Âäµ½AµãʱµÄËÙ¶È´óС
£»
£¨3£©Ô˶¯Ô±¾¹ýCO¶Î¹ý³ÌÖмõÉٵĻúеÄÜ![]()
²é¿´´ð°¸ºÍ½âÎö>>
¿ÆÄ¿£º¸ßÖÐÎïÀí À´Ô´£º ÌâÐÍ£º
¡¾ÌâÄ¿¡¿Å£¶ÙÀûÓÃÐÐÐÇÎ§ÈÆÌ«ÑôµÄÔ˶¯¿É¿´×öÔÈËÙÔ²ÖÜÔ˶¯£¬½èÖú¿ªÆÕÀÕÈý¶¨ÂÉÍÆµ¼³ö Á½ÎïÌå¼äµÄÒýÁ¦ÓëËüÃÇÖ®¼äµÄÖÊÁ¿µÄ³Ë»ý³ÉÕý±È£¬ÓëËüÃÇÖ®¼ä¾àÀëµÄƽ·½³É·´±È¡£Å£¶Ù˼¿¼ÔÂÇòÈÆµØÇòÔËÐеÄÔÒòʱ£¬Æ»¹ûµÄżȻÂ䵨ÒýÆðÁËËûµÄåÚÏ룺ÀסÔÂÇòʹËüÎ§ÈÆµØÇòÔ˶¯µÄÁ¦ÓëÀ×ÅÆ»¹ûÏÂÂäµÄÁ¦£¬ÊÇ·ñ¶¼ÓëÌ«ÑôÎüÒýÐÐÐǵÄÁ¦ÐÔÖÊÏàͬ£¬×ñÑ×ÅͳһµÄ¹æÂÉ----ƽ·½·´±È¹æÂÉ£¿Òò´Ë£¬Å£¶Ù¿ªÊ¼ÁËÖøÃûµÄ¡°ÔÂÒ»µØ¼ìÑ顱¡£
£¨1£©½«ÔÂÇòÈÆµØÇòÔ˶¯¿´×÷ÔÈËÙÔ²ÖÜÔ˶¯¡£ÒÑÖªÔÂÇòÖÊÁ¿Îªm£¬ÔÂÇò°ë¾¶Îªr£¬µØÇòÖÊÁ¿ÎªM£¬µØÇò°ë¾¶ÎªR,µØÇòºÍÔÂÇòÖÊÐļäµÄ¾àÀëΪL£¬ÔÂÇòÈÆµØÇò×öÔÈËÙÔ²ÖÜÔ˶¯µÄÏßËÙ¶ÈΪv£¬ÇóµØÇòºÍÔÂÇòÖ®¼äµÄÏ໥×÷ÓÃÁ¦F¡£
£¨2£©ÐÐÐÇÎ§ÈÆÌ«ÑôµÄÔ˶¯¿´×öÔÈËÙÔ²ÖÜÔ˶¯£¬ÔÚÅ£¶ÙµÄʱ´ú£¬ÔÂÇòÓëµØÇòµÄ¾àÀër¡¯¡¢ÔÂÇòÈÆ µØÇò¹«×ªµÄÖÜÆÚT'µÈ¶¼ÄܱȽϾ«È·µØ²â¶¨£¬ÇëÄã¾Ý´Ëд³ö¼ÆËãÔÂÇò¹«×ªµÄÏòÐļÓËÙ¶Èa µÄ±í´ïʽ£»ÒÑÖª
¡¢
£¬µØÃ渽½üµÄÖØÁ¦¼ÓËÙ¶Èg=9.80m/s2,ÇëÄã¸ù¾ÝÕâЩÊý¾Ý¹ÀËã±ÈÖµ
£»
£¨3£©ÒÑÖªÔÂÇòÓëµØÇòµÄ¾àÀëԼΪµØÇò°ë¾¶µÄ60±¶£¬Èç¹ûÅ£¶ÙµÄ²ÂÏëÕýÈ·£¬ÇëÄã¾Ý´Ë¼ÆËãÔÂÇò¹«×ªµÄÏòÐļÓËÙ¶ÈaºÍÆ»¹ûÏÂÂäµÄ¼ÓËÙ¶ÈgµÄ±ÈÖµ
£¬²¢Ó루2£©ÖеĽá¹ûÏà±È½Ï£¬ÄãÄܵóöʲô½áÂÛ?
²é¿´´ð°¸ºÍ½âÎö>>
¿ÆÄ¿£º¸ßÖÐÎïÀí À´Ô´£º ÌâÐÍ£º
¡¾ÌâÄ¿¡¿£¨18·Ö£©.Èçͼ£¬×èÖµ²»¼ÆµÄ¹â»¬½ðÊôµ¼¹ìMNºÍPQˮƽ·ÅÖã¬Æä×îÓҶ˼ä¾àdΪ1m£¬×ó¶ËMP£¬½ÓÓÐ×èÖµr=4
µÄµç×裬ÓÒ¶ËNQÓë°ë¾¶RΪ2mµÄ¹â»¬ÊúÖ±°ëÔ²ÐξøÔµµ¼¹ìƽ»¬Á¬½Ó£»Ò»¸ù×èÖµ²»¼ÆµÄ³¤ÎªL=1.2m£¬ÖÊÁ¿m=0.5kgµÄ½ðÊô¸Ëab·ÅÔÚµ¼¹ìµÄEF´¦£¬EFÓëNQƽÐС£ÔÚÆ½ÃæNQDCµÄ×ó²à¿Õ¼äÖдæÔÚÊúÖ±ÏòϵÄÔÈÇ¿´Å³¡B£¬Æ½ÃæNQDCµÄÓÒ²à¿Õ¼äÖÐÎ޴ų¡¡£ÏÖ¸ËabÒÔ³õËÙ¶Èv0=12m/sÏòÓÒÔÚˮƽ¹ìµÀÉÏ×öÔȼõËÙÔ˶¯£¬½øÈë°ëÔ²Ðε¼¹ìºóÇ¡ÄÜͨ¹ý×î¸ßλÖÃCD²¢Ç¡ÓÖÂäµ½EFλÖã» (gÈ¡10m/s2)
![]()
Çó£º(1)¸Ëab¸Õ½øÈë°ëÔ²Ðε¼¹ìʱ£¬¶Ôµ¼¹ìµÄѹÁ¦£º
(2)EFµ½QNµÄ¾àÀ룻
(3)´Å¸ÐӦǿ¶ÈBµÄ´óС
²é¿´´ð°¸ºÍ½âÎö>>
¿ÆÄ¿£º¸ßÖÐÎïÀí À´Ô´£º ÌâÐÍ£º
¡¾ÌâÄ¿¡¿ÈçͼËùʾ£¬Ò»¸öÀíÏë±äѹÆ÷Ô¡¢¸±ÏßȦµÄÔÑÊý±Èn1¡Ãn2£½6¡Ã1£¬¸±ÏßȦÁ½¶Ë½ÓÈýÌõ֧·£¬Ã¿Ìõ֧·É϶¼½ÓÓÐÒ»Ö»µÆÅÝ£¬µç·ÖÐLΪµç¸ÐÏßȦ¡¢CΪµçÈÝÆ÷¡¢RΪ¶¨Öµµç×裮µ±ÔÏßȦÁ½¶Ë½ÓÓÐÈçͼËùʾµÄ½»Á÷µçʱ£¬ÈýÖ»µÆÅݶ¼ÄÜ·¢¹â£®Èç¹û¼ÓÔÚÔÏßȦÁ½¶ËµÄ½»Á÷µçµÄ·åÖµ±£³Ö²»±ä£¬¶ø½«ÆäƵÂʱäΪÔÀ´µÄ2±¶£¬Ôò¶ÔÓÚ½»Á÷µçµÄƵÂʸıäÖ®ºóÓë¸Ä±äǰÏà±È£¬ÏÂÁÐ˵·¨ÖÐÕýÈ·µÄÊÇ(¡¡¡¡)
![]()
![]()
A. ¸±ÏßȦÁ½¶ËµÄµçѹÓÐЧֵ¾ùΪ6 V
B. ¸±ÏßȦÁ½¶ËµÄµçѹÓÐЧֵ¾ùΪ108
V
C. µÆÅÝ¢ñ±äÁÁ£¬µÆÅÝ¢ò±äÁÁ
D. µÆÅÝ¢ò±ä°µ£¬µÆÅÝ¢ó±äÁÁ
²é¿´´ð°¸ºÍ½âÎö>>
¿ÆÄ¿£º¸ßÖÐÎïÀí À´Ô´£º ÌâÐÍ£º
¡¾ÌâÄ¿¡¿ÈçͼËùʾΪA¡¢BÁ½ÈËÔÚͬһֱÏßÉÏÔ˶¯µÄÎ»ÒÆÍ¼Ïó£¬ÏÂÁзÖÎöÕýÈ·µÄÊÇ£¨ £©
![]()
A. 0¡«2sÄÚ£¬A¡¢BÁ½ÈË·´Ïò¶øÐÐ
B. 0¡«2sÄÚ£¬AµÄËٶȱÈBµÄËÙ¶È´ó
C. ÔÚ5sÄÚ£¬A×ߵķ³Ì±ÈB×ߵķ³Ì¶à
D. ÔÚ5sÄÚ£¬AµÄƽ¾ùËٶȱÈBµÄƽ¾ùËÙ¶ÈС
²é¿´´ð°¸ºÍ½âÎö>>
¿ÆÄ¿£º¸ßÖÐÎïÀí À´Ô´£º ÌâÐÍ£º
¡¾ÌâÄ¿¡¿£¨1£©ÓÃÂÝÐý²â΢Æ÷£¨Ç§·Ö³ß£©²âСÇòÖ±¾¶Ê±£¬Ê¾ÊýÈçͼ1Ëùʾ£¬ÔòСÇòµÄÖ±¾¶Îª______ mm£®
£¨2£©ÓÃÓα꿨³ß²âÒ»¸ù½ðÊô¹ÜµÄÄÚ¾¶ºÍÍ⾶ʱ£¬¿¨³ßÉϵÄÓαêλÖ÷ֱðÈçͼ2ºÍͼ3Ëùʾ£®Õâ¸ù½ðÊô¹ÜµÄ¹Ü±ÚºñÊÇ______ ÀåÃ×
£®
²é¿´´ð°¸ºÍ½âÎö>>
¹ú¼ÊѧУÓÅÑ¡ - Á·Ï°²áÁбí - ÊÔÌâÁбí
ºþ±±Ê¡»¥ÁªÍøÎ¥·¨ºÍ²»Á¼ÐÅÏ¢¾Ù±¨Æ½Ì¨ | ÍøÉÏÓк¦ÐÅÏ¢¾Ù±¨×¨Çø | µçÐÅթƾٱ¨×¨Çø | ÉæÀúÊ·ÐéÎÞÖ÷ÒåÓк¦ÐÅÏ¢¾Ù±¨×¨Çø | ÉæÆóÇÖȨ¾Ù±¨×¨Çø
Î¥·¨ºÍ²»Á¼ÐÅÏ¢¾Ù±¨µç»°£º027-86699610 ¾Ù±¨ÓÊÏ䣺58377363@163.com