精英家教网 > 高中物理 > 题目详情
一个做匀变速直线运动的物体连续通过两段长s的位移所用时间分别为t1、t2,则该物体的加速度为多少?
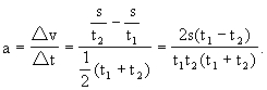
  [分析] 根据匀变速运动的物体在某段时间内的平均速度等于中点时刻瞬时速度的关系,结合加速度的定义.即可算出加速度.  [解]物体在这两段位移的平均速度分别为  它们分别等于通过这两段位移所用的时间中点的瞬时速度.由于两个时间
  可知:  [说明]由计算结果的表达式可知:当t1>t2时,a>0,表示物体作匀加速运动,通过相等位移所用时间越来越短;当t1<t2时,a<0,表示物体作匀减速运动,通过相等位移所用时间越来越长.
练习册系列答案
相关习题

科目:高中物理 来源: 题型:

一个做匀变速直线运动的物体,其加速度大小为0.6m/s2.此物体在任意1s内的(  )

查看答案和解析>>

科目:高中物理 来源: 题型:

一个做匀变速直线运动的物体,第一个3s内的位移是9m,第2个3s内位移为0,则该物体运动的加速度为
-1m/s2
-1m/s2
,初速度为
4.5m/s
4.5m/s

查看答案和解析>>

科目:高中物理 来源: 题型:

一个做匀变速直线运动的物体,它在连续相等的时间内通过的位移分别是24米和64米,连续相等的时间为2秒,则物体运动的加速度是
7.5
7.5
m/s2

查看答案和解析>>

科目:高中物理 来源: 题型:

精英家教网一个做匀变速直线运动的质点的v-t图象如图所示,由图线可知其速度-时间的关系为(  )
A、v=(4+2t) m/sB、v=(-4+2t) m/sC、v=(-4-2t) m/sD、v=(4-2t) m/s

查看答案和解析>>

科目:高中物理 来源: 题型:

一个做匀变速直线运动的物体,其位移与运动时间的关系式为s=4t+2t2,从t=0时刻开始计时,则(  )
A、物体运动的初速度为4m/sB、物体运动的加速度大小为2m/s2C、物体第2秒末的速度为8m/sD、物体第2秒内的位移为10m

查看答案和解析>>

同步练习册答案