精英家教网 > 高中物理 > 题目详情
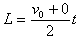
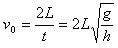
如图所示,一带电为+q质量为m的小球,从距地面高h处以一定的初速水平抛出,在距抛出点水平距离为L处有根管口比小球略大的竖直细管,管的上口距地面h/2。为了使小球能无碰撞地通过管子(即以竖直速度进入管子),可在管子上方整个区域内加一水平向左的匀强电场,(重力加速度为g)求:
(1)小球的初速度;
(2)应加电场的场强;
(3)小球落地时的动能。
解:(1)要使小球无碰撞地通过管口,则当它到达管口时,速度方向为竖直向下
竖直方向,自由落体运动,则运动时间为:
水平方向,粒子做匀减速运动,减速至0,位移
解得
(2)水平方向,根据牛顿第二定律:
又由运动学公式:
解得,方向水平向右
(3)由动能定理:
即:
解得:EK=mgh
练习册系列答案
相关习题

科目:高中物理 来源: 题型:

精英家教网如图所示,一带电为+q质量为m的小球,从距地面高h处以一定的初速水平抛出,在距抛出点水平距离为L处有根管口比小球略大的竖直细管,管的上口距地面
h2
.为了使小球能无碰撞地通过管子,可在管子上方整个区域内加一水平向左的匀强电场,求:
(1)小球的初速度;
(2)应加电场的场强;
(3)小球落地时的动能.

查看答案和解析>>

科目:高中物理 来源: 题型:

如图所示,一带电为+q质量为m的小物块处于一倾角为37°的光滑斜面上,当整个装置处于一水平方向的匀强电场中时,小物块恰处于静止.若从某时刻起,电场强度减小为原来的1/2,求:(已知sin37°=0.6,cos37°=0.8)
(1)原来的电场强度
(2)场强变化后物块的加速度
(3)场强变化后物块下滑距离L时的动能.

查看答案和解析>>

科目:高中物理 来源: 题型:

如图所示,一带电为+q质量为m的小物快,处于一倾角为37°的光滑绝缘的固定斜面上,当整个装置处于一水平方向的匀强电场中时,小物块恰好处于静止.若从某时刻起,只将电场强度大小减小为原来的一半,方向保持不变.求:
(1)原来电场强度的大小和方向.
(2)场强变化后,物块的加速度大小.
(3)场强变化后,物块下滑距离L时其电势能的变化.
(已知:sin37°=0.6,cos37°=0.8,重力加速度为g)

查看答案和解析>>

科目:高中物理 来源: 题型:

精英家教网如图所示,一带电为+q质量为m的小球,从距地面高h处以一定的初速水平抛出,在距抛出点水平距离为L处有一根管口比小球略大的竖直细管,管的上口距地面
h2
.为了使小球能无碰撞地通过管子,可在管子上方整个区域内加一水平向左的匀强电场.试求:
(1)小球的初速度应为多大;
(2)应加电场的场强大小;
(3)小球从抛出经多长时间落到地面上.

查看答案和解析>>

科目:高中物理 来源: 题型:

如图所示,一带电为+q质量为m的小球,从距地面高h处以一定的初速水平抛出, 在距抛出点水平距离为L处有根管口比小球略大的竖直细管,管的上口距地面h/2。为了使小球能无碰撞地通过管子(即以竖直速度进入管子),可在管子上方整个区域内加一水平向左的匀强电场,(重力加速度为g)求:

(1)小球的初速度      

(2)应加电场的场强

(3)小球落地时的动能

 

查看答案和解析>>

同步练习册答案