精英家教网 > 高中物理 > 题目详情

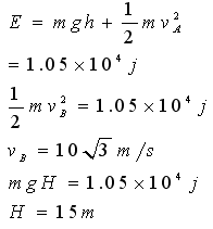
(12分)如图所示,质量m=70的运动员以10m/s的速度,从高h=10m的滑雪场A点沿斜坡自由滑下,一切阻力可以忽略不计,以地面为零势面。求:

(1)运动员在A点时的机械能;

(2)运动员到达最低点B时的速度大小;

(3)若运动员继续沿斜坡向上运动,他能达到的最大高度。 (g =10m/s2)

练习册系列答案
相关习题

科目:高中物理 来源: 题型:

(2009?上海模拟)如图所示,质量m=1kg的小物体从倾角θ=37°的光滑斜面上A点静止开始下滑,经过B点后进入粗糙水平面(经过B点时速度大小不变而方向变为水平).AB=3m.试求:
(1)小物体从A点开始运动到停止的时间t=2.2s,则小物体与地面间的动摩擦因数μ多大?
(2)若在小物体上始终施加一个水平向左的恒力F,发现当F=F0时,小物体恰能从A点静止出发,沿ABC到达水平面上的C点停止,BC=7.6m.求F0的大小.
(3)某同学根据(2)问的结果,得到如下判断:“当F≥F0时,小物体一定能从A点静止出发,沿ABC到达C点.”这一观点是否有疏漏,若有,请对F的范围予以补充.(sin37°=0.6,cos37°=0.8)

查看答案和解析>>

科目:高中物理 来源: 题型:

如图所示,质量m=7.2kg的物体拉力F作用下在水平面上以3m/s的速度匀速运动,已知拉力F=15N,且F与水平方向夹角θ=53°,取g=10m/s2,求:
(1)物体与水平面间的动摩擦因数;
(2)撤去拉力F后,物体继续滑动过程中加速度的大小;
(3)撤去拉力F后3.0s的时间内,物体滑行的距离.

查看答案和解析>>

科目:高中物理 来源: 题型:

如图所示,质量m=1kg的小物体从倾角θ=37°的光滑斜面上A点静止开始下滑,经B点后进入粗糙水平面(经过B点时速度大小不变而方向变为水平).AB=3m.求:
(1)若小物体在BC面上滑行的时间为2s,则小物体与地面间的动摩擦因数μ多大?
(2)若在小物体上始终施加一个水平向左的恒力F,小物体恰能从A点静止出发,沿ABC到达水平面上的C点停止,BC=7.6m.求F的大小.(sin37°=0.6,cos37°=0.8)

查看答案和解析>>

科目:高中物理 来源: 题型:

精英家教网如图所示,质量m=1kg的小物体从倾角θ=37°的光滑斜面上A点静止开始下滑,经过B点后进入粗糙水平面(经过B点时速度大小不变而方向变为水平).已知SAB=3m,SBC=7.6m,μ=0.5.试求:
(1)若在小物体上始终施加一个水平向左的恒力F,发现当F=F0时,小物体恰能从A点静止出发,沿ABC到达水平面上的C点停止.求F0的大小.
(2)某同学根据(1)问的结果,得到如下判断:“当F≥F0时,小物体一定能从A点静止出发,沿ABC到达C点.”这一观点是否有疏漏,若有,请对F的范围予以补充.(sin37°=0.6,cos37°=0.8)

查看答案和解析>>

科目:高中物理 来源: 题型:解答题

如图所示,质量m=7.2kg的物体拉力F作用下在水平面上以3m/s的速度匀速运动,已知拉力F=15N,且F与水平方向夹角θ=53°,取g=10m/s2,求:
(1)物体与水平面间的动摩擦因数;
(2)撤去拉力F后,物体继续滑动过程中加速度的大小;
(3)撤去拉力F后3.0s的时间内,物体滑行的距离.

查看答案和解析>>

同步练习册答案