ÓÐÒ»°ë¾¶r=
mµÄÔ²ÖùÌåÈÆÊúÖ±ÖáOO´ÒÔ½ÇËٶȦØ=8¦Ð rad/sÔÈËÙת¶¯£¬½ñÓÃˮƽÁ¦F°ÑÖÊÁ¿m=l.2kgµÄÎïÌåAѹÔÚÔ²ÖùÌåµÄ²àÃæ£¬ÓÉÓÚÊܵ²°åÉÏÊúÖ±¹â»¬²ÛµÄ×÷Óã¬ÎïÌåAÔÚˮƽ·½ÏòÉϲ»ÄÜËæÔ²ÖùÌåת¶¯£¬¶øÒÔv0=1.8m/sµÄËÙÂÊÔÈËÙÏ»¬£¬ÈçͼËùʾ£®ÒÑÖªÎïÌåAÓëÔ²ÖùÌå¼äµÄ¶¯Ä¦²ÁÒòÊý¦Ì=0.25£¬gÈ¡l0m/s2£®ÏÂÁÐ˵·¨ÖÐÕýÈ·µÄÊÇ£¨¡¡¡¡£©
![]()
¡¡ A£® AÏà¶ÔÓÚÔ²ÖùÌåµÄ¹ì¼£ÎªµÈ¼ä¾àÂÝÐýÏß
¡¡ B£® ˮƽÁ¦F´óСΪ48N
¡¡ C£® Ô²ÖùÌå¶ÔAµÄĦ²ÁÁ¦´óСΪ20N
¡¡ D£® Ô²ÖùÌåת¶¯Ò»Öܹý³ÌÖÐA¿Ë·þĦ²ÁÁ¦×ö¹¦Îª15J
¡¾¿¼µã¡¿£º ¹¦µÄ¼ÆË㣻Ħ²ÁÁ¦µÄÅжÏÓë¼ÆË㣮
¡¾×¨Ìâ¡¿£º ¹¦µÄ¼ÆËãרÌ⣮
¡¾·ÖÎö¡¿£º ÎïÌåAÔÈËÙϽµ£¬ÊÜÁ¦Æ½ºâ£¬ÎïÌåÊܵ½ÖØÁ¦¡¢ÍâÁ¦F¡¢Ô²ÖùÌåµÄÖ§³ÖÁ¦ºÍ»¬¶¯Ä¦²ÁÁ¦£¬¶ø»¬¶¯Ä¦²ÁÁ¦·½ÏòÓëÎïÌåÏà¶ÔÓÚÔ²ÖùÌåµÄËÙ¶È·½ÏòÏà·´£®ÎïÌåA¼ÈÒÔv0=1.8m/sµÄËÙ¶ÈÊúֱϽµ£¬ÓÖÏà¶ÔÔ²ÖùÌåת¶¯£¬ÏÈÓÉ v¡ä=¦ØrÇó³öAÏà¶ÔÔ²ÖùÌå´¹Ö±Ö½ÃæÏòÍâµÄËÙ¶Èv¡ä£¬µÃµ½ºÏËÙ¶Èv£¬ÓÉcos¦È=
£¬Çó³öºÏËÙ¶ÈÓëÊúÖ±·½ÏòµÄ¼Ð½Ç¦È£¬¼´¿ÉÈ·¶¨³ö»¬¶¯Ä¦²ÁÁ¦µÄ·½Ïò£¬ÔÙ¸ù¾ÝƽºâÌõ¼þºÍĦ²ÁÁ¦¹«Ê½Ff=¦ÌFN£¬Çó½âFµÄ´óС£®
¡¾½âÎö¡¿£º ½â£ºA¡¢Ïà¶ÔÓÚÔ²ÖùÌåÏòÏÂ×öÔÈËÙÖ±ÏßÔ˶¯£¬¶øÔ²ÖùÌåÔÈËÙת¶¯£¬ËùÒÔAÏà¶ÔÓÚÔ²ÖùÌåµÄ¹ì¼£ÎªµÈ¼ä¾àÂÝÐýÏߣ¬¹ÊAÕýÈ·£»
B¡¢ÔÚˮƽ·½ÏòÔ²ÖùÌåÓд¹Ö±Ö½ÃæÏòÀïµÄËÙ¶È£¬AÏà¶ÔÔ²ÖùÌåÓд¹Ö±Ö½ÃæÏòÍâµÄËÙ¶ÈΪv¡ä£¬
Ôòv¡ä=¦Ør=8¦Ð¡Á
=2.4m/s£»
ÔÚÊúÖ±·½ÏòÓÐÏòϵÄËÙ¶È v0=1.8m/s
ºÏËٶȵĴóСΪv=3m/s
ÉèºÏËÙ¶ÈÓëÊúÖ±·½ÏòµÄ¼Ð½ÇΪ¦È£¬ÔòÓУ»cos¦È=![]()
ËùÒÔAËùÊܵϬ¶¯Ä¦²ÁÁ¦·½ÏòÓëÊúÖ±·½ÏòµÄ¼Ð½ÇҲΪ¦È£®
A×öÔÈËÙÔ˶¯£¬ÊúÖ±·½Ïòƽºâ£¬ÔòÓÐ
Ffcos¦È=mg£¬
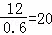
µÃ Ff=
N
ÁíFf=¦ÌFN£¬FN=F£¬
ËùÒÔÓУºF=
N£¬¹ÊB´íÎó£¬CÕýÈ·£»
D¡¢Ô²ÖùÌåת¶¯Ò»Öܹý³ÌÖУ¬ÎïÌåA¿Ë·þĦ²ÁÁ¦×ö¹¦Îª£º
W=f£¨v0¡Á
£©cos53¡ã=5.4J£¬¹ÊD´íÎó£®
¹ÊÑ¡£ºAC
¡¾µãÆÀ¡¿£º ±¾Ìâ¹Ø¼üÊÇÔËÓÃÔ˶¯µÄºÏ³É·¨È·¶¨ºÏËٶȵķ½Ïò£¬µÃµ½»¬¶¯Ä¦²ÁÁ¦µÄ·½Ïò£¬ÒªÓпռäÏëÏóÄÜÁ¦£®
¡¡
| Äê¼¶ | ¸ßÖÐ¿Î³Ì | Äê¼¶ | ³õÖÐ¿Î³Ì |
| ¸ßÒ» | ¸ßÒ»Ãâ·Ñ¿Î³ÌÍÆ¼ö£¡ | ³õÒ» | ³õÒ»Ãâ·Ñ¿Î³ÌÍÆ¼ö£¡ |
| ¸ß¶þ | ¸ß¶þÃâ·Ñ¿Î³ÌÍÆ¼ö£¡ | ³õ¶þ | ³õ¶þÃâ·Ñ¿Î³ÌÍÆ¼ö£¡ |
| ¸ßÈý | ¸ßÈýÃâ·Ñ¿Î³ÌÍÆ¼ö£¡ | ³õÈý | ³õÈýÃâ·Ñ¿Î³ÌÍÆ¼ö£¡ |
¿ÆÄ¿£º¸ßÖÐÎïÀí À´Ô´£º ÌâÐÍ£º
ÒÑÖªµØÇò°ë¾¶ÎªR£¬µØÃæÖØÁ¦¼ÓËÙ¶ÈΪg£®¼ÙÉèµØÇòµÄ×Ôת¼Ó¿ì£¬Ôò³àµÀÉϵÄÎïÌå¾Í¿ÉÄܿ˷þµØÇòÒýÁ¦¶øÆ®¸¡ÆðÀ´£¬Ôò´ËʱµØÇòµÄ×ÔתÖÜÆÚΪ£¨¡¡¡¡£©
| ¡¡ | A£® |
| B£® | 2¦Ð | C£® | 2¦Ð | D£® |
|
²é¿´´ð°¸ºÍ½âÎö>>
¿ÆÄ¿£º¸ßÖÐÎïÀí À´Ô´£º ÌâÐÍ£º
ÈçͼÊÇË®ÃæÉÏÁ½ÁÐÆµÂÊÏàͬµÄ²¨ÔÚijʱ¿ÌµÄµþ¼ÓÇé¿ö£¬ÒÔ²¨Ô´S1¡¢S2ΪԲÐĵÄÁ½×éͬÐÄÔ²»¡·Ö±ð±íʾͬһʱ¿ÌÁ½Áв¨µÄ²¨·å£¨ÊµÏߣ©ºÍ²¨¹È£¨ÐéÏߣ©£¬s1µÄÕñ·ùA1=4cm£¬S2µÄÕñ·ùA2=3cm£¬ÔòÏÂÁÐ˵·¨ÕýÈ·µÄÊÇ£¨¡¡¡¡£©
![]()
¡¡ A£® ÖʵãDÊÇÕñ¶¯¼õÈõµã
¡¡ B£® ÖʵãA¡¢DÔÚ¸Ãʱ¿ÌµÄ¸ß¶È²îΪ14cm
¡¡ C£® ÔÙ¹ý°ë¸öÖÜÆÚ£¬ÖʵãB¡¢CÊÇÕñ¶¯¼ÓÇ¿µã
¡¡ D£® ÖʵãCµÄÕñ·ùΪ1cm
²é¿´´ð°¸ºÍ½âÎö>>
¿ÆÄ¿£º¸ßÖÐÎïÀí À´Ô´£º ÌâÐÍ£º
Æø¸×³¤ÎªL=1m£¬¹Ì¶¨ÔÚË®Æ½ÃæÉÏ£¬Æø¸×ÖÐÓÐºá½ØÃæ»ýΪS=100cm2µÄ¹â»¬»îÈû£¬»îÈû·â±ÕÁËÒ»¶¨ÖÊÁ¿µÄÀíÏëÆøÌ壬µ±Î¶ÈΪt=27¡æ£¬´óÆøÑ¹Ç¿ÎªP0=1¡Á105Paʱ£¬ÆøÖù³¤¶ÈΪl=90cm£¬Æø¸×ºÍ»îÈûµÄºñ¶È¾ù¿ÉºöÂÔ²»¼Æ£®Çó£º
¢ÙÈç¹ûζȱ£³Ö²»±ä£¬½«»îÈû»ºÂýÀÖÁÆø¸×ÓҶ˿ڣ¬´ËʱˮƽÀÁ¦FµÄ´óСÊǶàÉÙ£¿
¢ÚÈç¹ûÆø¸×ÄÚÆøÌåζȻºÂýÉý¸ß£¬Ê¹»îÈûÒÆÖÁÆø¸×ÓÒ¶Ë¿Úʱ£¬ÆøÌåζÈΪ¶àÉÙÉãÊ϶ȣ¿
![]()
²é¿´´ð°¸ºÍ½âÎö>>
¿ÆÄ¿£º¸ßÖÐÎïÀí À´Ô´£º ÌâÐÍ£º
ÔÚ½ÖÍ·µÄÀí·¢µêÃſڣ¬³£¿ÉÒÔ¿´µ½ÓÐÕâÑùµÄ±êÖ¾£ºÒ»¸öת¶¯µÄԲͲ£¬Íâ±íÓвÊÉ«ÂÝÐýбÌõÎÆ£¬ÎÒÃǸоõÌõÎÆÔÚÑØÊúÖ±·½ÏòÔ˶¯£¬µ«Êµ¼ÊÉÏÌõÎÆÔÚÊúÖ±·½Ïò²¢Ã»ÓÐÉý½µ£¬ÕâÊÇÓÉÓÚԲͲµÄת¶¯¶øÊ¹ÎÒÃǵÄÑÛ¾¦²úÉúµÄ´í¾õ£®ÈçͼËùʾ£¬¼ÙÉèԲͲÉϵÄÌõÎÆÊÇÎ§ÈÆÔ²Í²µÄÒ»Ìõ¿í´ø£¬ÏàÁÚÁ½È¦ÌõÎÆÔÚÑØÔ²Í²ÖáÏß·½ÏòµÄ¾àÀ루¼´ÂݾࣩΪL=10cm£¬Ô²Í²ÑØÄæÊ±Õë·½Ïò£¨´Ó¸©ÊÓ·½Ïò¿´£©£¬ÒÔ2ת/ÃëµÄתËÙÔÈËÙת¶¯£¬ÎÒÃǸоõµ½µÄÉý½µ·½ÏòºÍËÙ¶È´óС·Ö±ðΪ£¨¡¡¡¡£©
![]()
¡¡ A£® ÏòÉÏ 10cm/s B£® ÏòÉÏ 20cm/s C£® ÏòÏÂ 10cm/s D£® ÏòÏÂ 20cm/s
²é¿´´ð°¸ºÍ½âÎö>>
¿ÆÄ¿£º¸ßÖÐÎïÀí À´Ô´£º ÌâÐÍ£º
Á½Áмòгºá²¨µÄÕñ·ù¶¼ÊÇ20cm£¬´«²¥ËÙ¶È´óСÏàͬ£®ÊµÏß²¨µÄƵÂÊΪ2Hz£¬ÑØxÖáÕý·½Ïò´«²¥£»ÐéÏß²¨ÑØxÖḺ·½Ïò´«²¥£®Ä³Ê±¿ÌÁ½Áв¨ÔÚÈçͼËùÊ¾ÇøÓòÏàÓö£®Ôò¸Ãʱ¿ÌÔÚx=0¡«12m·¶Î§ÄÚ£¬ËÙ¶È×î´óµÄÊÇÆ½ºâλÖÃΪx=¡¡6¡¡mµÄÖʵ㣻´Óͼʾʱ¿ÌÆðÔÙ¾¹ý1.5s£¬Æ½ºâλÖÃΪx=6m´¦µÄÖʵãµÄÎ»ÒÆy=¡¡0¡¡m£®
![]()
²é¿´´ð°¸ºÍ½âÎö>>
¿ÆÄ¿£º¸ßÖÐÎïÀí À´Ô´£º ÌâÐÍ£º
ÈçͼËùʾ£¬Ò»ÑØË®Æ½·½ÏòµÄÔÈÇ¿´Å³¡·Ö²¼ÔÚÊúÖ±¸ß¶ÈΪ2LµÄij¾ØÐÎÇøÓòÄÚ£¨¿í¶È×ã¹»´ó£©£¬¸ÃÇøÓòµÄÉÏϱ߽çMN¡¢PSÊÇˮƽµÄ£®ÓÐÒ»±ß³¤ÎªLµÄÕý·½Ðε¼Ïß¿òabcd´Ó¾àÀë´Å³¡Éϱ߽çMNµÄij¸ß´¦Óɾ²Ö¹ÊÍ·ÅÏÂÂä¶ø´©¹ý¸Ã´Å³¡ÇøÓò£®ÒÑÖªµ±Ïß¿òµÄab±ßµ½´ïMNʱÏß¿ò¸ÕºÃ×öÔÈËÙÖ±ÏßÔ˶¯£¨ÒÔ´Ëʱ¿ªÊ¼¼ÆÊ±£©£¬ÒÔMN´¦Îª×ø±êԵ㣬ȡÈçÍ¼×ø±êÖáx£¬²¢¹æ¶¨ÄæÊ±Õë·½ÏòΪ¸ÐÓ¦µçÁ÷µÄÕý·½Ïò£¬Ôò¹ØÓÚÏß¿òÖеĸÐÓ¦µçÁ÷Óëab±ßµÄλÖÃ×ø±êx¼äµÄÒÔÏÂͼÏßÖУ¬¿ÉÄÜÕýÈ·µÄÊÇ£¨¡¡¡¡£©
![]()
¡¡ A£®
B£®
C£®
D£® ![]()
²é¿´´ð°¸ºÍ½âÎö>>
¿ÆÄ¿£º¸ßÖÐÎïÀí À´Ô´£º ÌâÐÍ£º
ÈçͼΪԶ¾àÀëÊäµçʾÒâͼ£¬·¢µç»úµÄÊä³öµçѹU1ºÍÊäµçÏߵĵç×è¡¢ÀíÏë±äѹÆ÷ÔÑÊý¾ù²»±ä£¬ÇÒn1£ºn2=n4£ºn3¡£µ±Óû§ÏûºÄµÄ¹¦ÂÊÔö´óʱ£¬ÏÂÁбíÊöÕýÈ·µÄÊÇ£¨ £©
A£®Óû§µÄµçѹU4Ôö¼Ó
B£®ºãÓÐU1£ºU2=U4£ºU3
C£®ÊäµçÏßÉÏËðºÄµÄ¹¦ÂʼõС
D£®·¢µç»úµÄÊä³ö¹¦Âʲ»±ä
![]()
²é¿´´ð°¸ºÍ½âÎö>>
¿ÆÄ¿£º¸ßÖÐÎïÀí À´Ô´£º ÌâÐÍ£º
ÈçͼËùʾ£¬ÓÐÒ»¸öÖØÁ¦²»¼ÆµÄ·½ÐÎÈÝÆ÷£¬±»Ë®Æ½Á¦FѹÔÚÊúÖ±µÄÇ½ÃæÉÏ´¦ÓÚ¾²Ö¹×´Ì¬£¬ÏÖ»ºÂýµØÏòÈÝÆ÷ÄÚעˮ£¬Ö±µ½½«ÈÝÆ÷¸ÕºÃÊ¢ÂúΪֹ£¬Ôڴ˹ý³ÌÖÐÈÝÆ÷ʼÖÕ±£³Ö¾²Ö¹£¬ÔòÏÂÁÐ˵·¨ÖÐÕýÈ·µÄÊÇ£¨¡¡¡¡£©
![]()
¡¡ A£® ÈÝÆ÷Êܵ½µÄĦ²ÁÁ¦²»±ä B£® ÈÝÆ÷Êܵ½µÄĦ²ÁÁ¦Öð½¥Ôö´ó
¡¡ C£® ˮƽÁ¦F¿ÉÄܲ»±ä D£® ˮƽÁ¦F±ØÐëÖð½¥Ôö´ó
²é¿´´ð°¸ºÍ½âÎö>>
¹ú¼ÊѧУÓÅÑ¡ - Á·Ï°²áÁбí - ÊÔÌâÁбí
ºþ±±Ê¡»¥ÁªÍøÎ¥·¨ºÍ²»Á¼ÐÅÏ¢¾Ù±¨Æ½Ì¨ | ÍøÉÏÓк¦ÐÅÏ¢¾Ù±¨×¨Çø | µçÐÅթƾٱ¨×¨Çø | ÉæÀúÊ·ÐéÎÞÖ÷ÒåÓк¦ÐÅÏ¢¾Ù±¨×¨Çø | ÉæÆóÇÖȨ¾Ù±¨×¨Çø
Î¥·¨ºÍ²»Á¼ÐÅÏ¢¾Ù±¨µç»°£º027-86699610 ¾Ù±¨ÓÊÏ䣺58377363@163.com