精英家教网 > 高中物理 > 题目详情

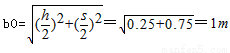
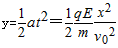
如图,有一矩形区域,水平边长为s=,竖直边长为h=1m.质量均为、带电量分别为和的两粒子,.当矩形区域只存在场强大小为E=10N/C、方向竖直向下的匀强电场时,由a点沿方向以速率进入矩形区域,轨迹如图。当矩形区域只存在匀强磁场时由c点沿cd方向以同样的速率进入矩形区域,轨迹如图。不计重力,已知两粒子轨迹均恰好通过矩形区域的几何中心。则:

A.由题给数据,初速度可求

B.磁场方向垂直纸面向外

C.做匀速圆周运动的圆心在b点

D.两粒子各自离开矩形区域时的动能相等。

 

AC

【解析】电荷在匀强电场中做类平抛运动,将电荷的运动分解为沿电场方向和垂直电场方向,结合牛顿第二定律和运动学公式求出初速度的大小.粒子在磁场中做匀速圆周运动,根据几何关系确定粒子做圆周运动的圆心.

A、因为粒子通过矩形区域的几何中心,可知沿电场方向上的距离,垂直电场方向上的距离.根据,可以求出初速度的大小.故A正确.

B、-q由c点沿cd方向以同样的速率v0进入矩形区域,根据洛伦兹力的方向,结合左手定则知,磁场方向垂直纸面向里,故B错误.

C、因为圆周运动的轨迹经过矩形区域的几何中心,设中心为0,根据几何关系知,,可知矩形区域几何中心到b点的距离等于bc的距离,知b点为圆周运动的圆心.故C正确.

D、电荷在电场中做类平抛运动,速度增大,在磁场中做匀速圆周运动,速度大小不变,可知离开区域区域时动能不等.故D错误.

故选:AC.

 

练习册系列答案
相关习题

科目:高中物理 来源: 题型:

如图所示,质量为M的木块A套在粗糙水平杆上,并用轻绳将木块A与质量为m的小球B相连.现用水平力F将小球B缓慢拉起,在此过程中木块A始终静止不动.假设杆对A的支持力为N,杆对A的摩擦力为f,绳中张力为T,则此过程中(  )
A、F增大B、f不变C、T减小D、N减小

查看答案和解析>>

科目:高中物理 来源: 题型:

以下说法正确的是(  )
A、缝衣针浮在水面上不下沉是重力和水的浮力平衡的结果B、小木块能够浮于水面上是液体表面张力与其重力平衡的结果C、喷泉喷射到空中的水形成一个个球形的小水珠是表面张力作用的结果D、小昆虫能在水面上自由来往而不陷入水中,原因是液体表面张力在起作用

查看答案和解析>>

科目:高中物理 来源:2016届辽宁省鞍山市高一下学期期末考试B卷物理试卷(解析版) 题型:选择题

下列四种情况中小球的机械能增加的是(重力加速度为g)

A.小球以小于g的加速度匀加速下降

B.小球以大于g的加速度匀加速下降

C.小球以小于g的加速度匀减速上升

D.小球以大于g的加速度匀减速上升

 

查看答案和解析>>

科目:高中物理 来源:2016届海南省三亚市高一下学期期末考试物理试卷(解析版) 题型:选择题

如图所示,长度L=0.50 m的轻质杆OA,A端固定一个质量m=3.0 kg的小球,小球以O为圆心在竖直平面内做圆周运动.通过最高点时小球的速率是2.0 m/s,g取10 m/s2,则此时细杆OA( )

A.受到6.0 N的拉力 B.受到54 N的压力 C.受到24 N的拉力 D.受到6.0 N的压力

 

查看答案和解析>>

科目:高中物理 来源:2016届安徽省高一上学期期中考试物理试卷(解析版) 题型:选择题

甲、乙两辆车在平直公路上并排行驶,甲车内的人看到窗外树木向东移动,乙车内的人发现甲车不动,若以地面为参考系,则( )

A. 甲向西运动,乙不动

B. 乙向西运动,甲不动

C. 甲向西运动,乙向东运动

D. 甲、乙同时向西运动,而且快慢程度相同

 

查看答案和解析>>

科目:高中物理 来源:2015年江西省高考物理模拟试卷(5) 题型:选择题

在光电效应实验中,两个实验小组分别在各自的实验室,约定用相同频率的单色光,分别照射锌和银的表面,结果都能发生光电效应,如图,并记录相关数据。对于这两组实验,下列判断正确的是(填正确答案标号,选对1个给3分,选对2个得4分,选对3个得6分,每选错1个扣3分,最低得分0分)

A.因为材料不同逸出功不同,所以遏止电压Uc不同

B.饱和光电流一定不同

C.光电子的最大初动能不同

D.因为光强不确定,所以单位时间逸出的光电子数可能相同

E.分别用不同频率的光照射之后绘制Uc~图像(为照射光频率,下右图为其中一小组绘制的图像),图像的斜率可能不同

 

查看答案和解析>>

科目:高中物理 来源:2015年江西省高考物理模拟试卷(5) 题型:选择题

研究表明,地球自转在逐渐改变,3亿年前地球自转的周期约为22小时。假设这种趋势会持续下去,且地球的质量、半径都不变,若干年后()

A.近地卫星(以地球半径为轨道半径)的运行速度比现在大

B.近地卫星(以地球半径为轨道半径)的向心加速度比现在小

C.同步卫星的运行速度比现在小

D.同步卫星的向心加速度与现在相同

 

查看答案和解析>>

科目:高中物理 来源:2015届黑龙江省高三第一次模拟考试物理试卷(解析版) 题型:实验题

某同学测定一金属杆的长度和直径,示数如图甲、乙所示,则该金属杆的长度和直径分别为 cm和 mm

 

 

查看答案和解析>>

同步练习册答案