¡¾ÌâÄ¿¡¿ÈçͼËùʾ£¬ÔÚÇã½ÇΪ¦ÈµÄ¹Ì¶¨¹â»¬Ð±ÃæÉÏ£¬ÓÐÁ½¸öÓÃÇáÖʵ¯»ÉÏàÁ¬µÄÎï¿éAºÍB£¬ËüÃǵÄÖÊÁ¿¾ùΪm£¬µ¯»ÉµÄ¾¢¶ÈϵÊýΪk£¬CΪһ¹Ì¶¨µÄµ²°å£¬ÏÖ½«Ò»¸öÖÊÁ¿Ò²ÎªmµÄÎïÌåD´Ó¾àAΪLµÄλÖÃÓɾ²Ö¹ÊÍ·Å£¬DºÍAÏàÅöºóÁ¢¼´Õ³ÔÚÒ»Æð£¬Ö®ºóÔÚÐ±ÃæÉÏ×ö¼òгÔ˶¯¡£ÔÚ¼òгÔ˶¯¹ý³ÌÖУ¬ÎïÌåB¶ÔCµÄ×îСµ¯Á¦Îª
£¬ÔòÒÔÏÂ˵·¨ÕýÈ·µÄÊÇ
![]()
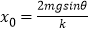
A. ¼òгÔ˶¯µÄÕñ·ùΪ
B. ¼òгÔ˶¯µÄÕñ·ùΪ![]()
C. B¶ÔCµÄ×î´óµ¯Á¦
D. B¶ÔCµÄ×î´óµ¯Á¦![]()
¡¾´ð°¸¡¿AD
¡¾½âÎö¡¿
µ±µ¯Á¦µÈÓÚADµÄÖØÁ¦µÄ·ÖÁ¦Ê±AD´¦ÓÚÆ½ºâ״̬£¬ÓÉkx=2mgsin¦È¿ÉÖª£¬Æ½ºâλÖÃʱµ¯»ÉµÄÐαäÁ¿Îª
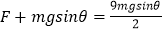
£¬´¦Ñ¹Ëõ״̬£»µ±B¶ÔCµ¯Á¦×îСʱ£¬¶ÔB·ÖÎö£¬ÔòÓÐmgsin¦È+kx=
mgsin¦È£»¹Êµ¯»É´ËʱÐαäÁ¿£º
£¬´Ëʱµ¯»É´¦ÓÚѹËõ״̬£»¹Ê¼òгÔ˶¯µÄÕñ·ùΪ£º
£»¹ÊAÕýÈ·£¬B´íÎó£»µ±ADÔ˶¯µ½×îµÍµãʱ£¬B¶ÔCµÄµ¯Á¦×î´ó£»ÓɶԳÆÐÔ¿ÉÖª£¬´Ëʱµ¯»ÉµÄÐαäÁ¿Îª£º
£»´Ëʱµ¯Á¦Îª£º
£»B¶ÔCµÄµ¯Á¦Îª
£»¹ÊC´íÎó£¬DÕýÈ·£»
| Äê¼¶ | ¸ßÖÐ¿Î³Ì | Äê¼¶ | ³õÖÐ¿Î³Ì |
| ¸ßÒ» | ¸ßÒ»Ãâ·Ñ¿Î³ÌÍÆ¼ö£¡ | ³õÒ» | ³õÒ»Ãâ·Ñ¿Î³ÌÍÆ¼ö£¡ |
| ¸ß¶þ | ¸ß¶þÃâ·Ñ¿Î³ÌÍÆ¼ö£¡ | ³õ¶þ | ³õ¶þÃâ·Ñ¿Î³ÌÍÆ¼ö£¡ |
| ¸ßÈý | ¸ßÈýÃâ·Ñ¿Î³ÌÍÆ¼ö£¡ | ³õÈý | ³õÈýÃâ·Ñ¿Î³ÌÍÆ¼ö£¡ |
¿ÆÄ¿£º¸ßÖÐÎïÀí À´Ô´£º ÌâÐÍ£º
¡¾ÌâÄ¿¡¿´¦ÓÚµÚ 2 ¼¤·¢Ì¬µÄ´óÁ¿ÇâÔ×ÓÏòµÍÄܼ¶Ô¾Ç¨·øÉä¶àÖÖÆµÂʵĹâ×Ó£¬ÒÑÖªÆÕÀʿ˳£Á¿Îª h£¬ÇâÔ×ÓÄܼ¶¹«Ê½Îª E=
£¬²»Í¬¹ìµÀ°ë¾¶Îª r n =n2r1£¬E1Ϊ»ù̬ÄÜÁ¿£¬r1ΪµÚ¢ñ¹ìµÀ°ë¾¶£¬ n=1£¬2£¬3¡£®ÔòÏÂÁÐ˵·¨ÖдíÎóµÄÊÇ £¨ £©
A. ¹²²úÉú 3 ÖÖÆµÂʵĹâ×Ó
B. µç×ÓÓÉµÚ 2 ¼¤·¢Ì¬Ô¾Ç¨µ½»ù̬ʱ£¬µçÊÆÄܼõС£¬¶¯ÄÜÔö¼Ó£¬×ÜÄÜÁ¿¼õС
C. ´¦ÓÚµÚ 2 ¼¤·¢Ì¬ºÍ´¦ÓÚ»ù̬µç×Ó×öÔ²ÖÜÔ˶¯ÏßËÙ¶È´óС֮±ÈΪ 1:3
D. ²úÉú¹â×Ó×î´ó²¨³¤Îª¦Ëm=![]()
²é¿´´ð°¸ºÍ½âÎö>>
¿ÆÄ¿£º¸ßÖÐÎïÀí À´Ô´£º ÌâÐÍ£º
¡¾ÌâÄ¿¡¿Ä³ÐËȤС×éÊÜDZˮÆ÷¡°òÔÁúºÅ¡±µÄÆô·¢£¬Éè¼ÆÁËÒ»²â¶¨Ë®ÉîµÄÉî¶È¼Æ¡£Èçͼ£¬×ó¶Ë¿ª¿ÚµÄÆø¸×¢ñºÍÃܱյḏעò¾ùµ¼ÈÈ£¬ÄÚ¾¶Ïàͬ£¬³¤¶È¾ùΪL£¬ÓÉһϸ¹Ü£¨ÈÝ»ýºöÂÔ£©Á¬Í¨¡£Ó²±¡»îÈûA¡¢BÃÜ·âÐÔÁ¼ºÃÇÒ¿ÉÎÞĦ²Á»¬¶¯£¬³õʼʱ¾ùλÓÚÆø¸××î×ó¶Ë¡£Æø¸×¢ñ¡¢¢òÄÚ·Ö±ð·âÓÐѹǿΪp0¡¢3p0µÄÀíÏëÆøÌå¡£ÒÑÖªÍâ½ç´óÆøÑ¹Ç¿Îªp0¡¢Î¶ÈΪT0£¬p0Ï൱ÓÚ10m¸ßµÄË®²úÉúµÄѹǿ¡£
![]()
(i)Èô¸Ã×°Ö÷ÅÈëζÈΪT0µÄË®Éî10m´¦£¬ÇóAÏòÓÒÒÆ¶¯µÄ¾àÀ룻
(ii£©Èô¸Ã×°Ö÷ÅÈëζÈΪ2T0µÄË®ÖУ¬Çó¸Ã×°ÖÃÄܲâÁ¿µÄ×î´óË®Éîhm.
²é¿´´ð°¸ºÍ½âÎö>>
¿ÆÄ¿£º¸ßÖÐÎïÀí À´Ô´£º ÌâÐÍ£º
¡¾ÌâÄ¿¡¿Èçͼ£¬ÓÉUÐιܺÍϸ¹ÜÁ¬½ÓµÄ²£Á§ÅÝA¡¢BºÍC½þÅÝÔÚζȾùΪ0¡æµÄË®²ÛÖУ¬BµÄÈÝ»ýÊÇA/4±¶¡£·§ÃÅS½«AºÍBÁ½²¿·Ö¸ô¿ª.AÄÚÎªÕæ¿Õ£¬BºÍCÄÚ¶¼³äÓÐÆøÌå.UÐιÜÄÚ×ó±ßË®ÒøÖù±ÈÓұߵĵÍ50mm.´ò¿ª·§ÃÅS£¬Õû¸öϵͳÎȶ¨ºó£¬UÐιÜÄÚ×óÓÒË®ÒøÖù¸ß¶ÈÏàµÈ¡£¼ÙÉèUÐιܺÍϸ¹ÜÖÐµÄÆøÌåÌå»ýԶСÓÚ²£Á§ÅݵÄÈÝ»ý¡£
![]()
(i)Çó²£Á§ÅÝCÖÐÆøÌåµÄѹǿ(ÒÔmmHgΪµ¥Î»)
(ii)½«ÓÒ²àË®²ÛµÄË®´Ó0¡æ¼ÓÈȵ½Ò»¶¨Î¶Èʱ£¬UÐιÜÄÚ×óÓÒË®ÒøÖù¸ß¶È²îÓÖΪ40mm£¬Çó¼ÓÈȺóÓÒ²àË®²ÛµÄˮΡ£
²é¿´´ð°¸ºÍ½âÎö>>
¿ÆÄ¿£º¸ßÖÐÎïÀí À´Ô´£º ÌâÐÍ£º
¡¾ÌâÄ¿¡¿ÏÂÁÐ˵·¨ÖÐÕýÈ·µÄÊÇ
A. LCÕñµ´µçÁ÷µÄÖÜÆÚÖ»ÓëµçÈÝÆ÷µÄµçÈÝ´óСÓйØ
B. Ö»Óа´ÕýÏÒ»òÓàÏÒ¹æÂɱ仯µÄµç³¡²ÅÄÜÔÚ¿Õ¼ä²úÉú´Å³¡
C. ²»¹Ü±ÕºÏ»ØÂ·ÊÇ·ñ´æÔÚ£¬±ä»¯µÄ´Å³¡¶¼»áÔÚÆäÖÜΧ¿Õ¼ä²úÉúµç³¡
D. Âó¿Ë˹Τ´ÓÀíÂÛÉÏÔ¤¼ûÁ˵ç´Å²¨µÄ´æÔÚ£¬µ«²¢Î´ÓÃʵÑé֤ʵµç´Å²¨µÄ´æÔÚ
²é¿´´ð°¸ºÍ½âÎö>>
¿ÆÄ¿£º¸ßÖÐÎïÀí À´Ô´£º ÌâÐÍ£º
¡¾ÌâÄ¿¡¿×ö²â¶¨²£Á§ÕÛÉäÂÊʵÑéʱ£¬Í¬Ñ§ÃDZ»·Ö³ÉÈô¸ÉʵÑéС×飬ÒÔÏÂÊÇÆäÖÐÁ½¸öʵÑéС×éµÄʵÑéÇé¿ö£º
£¨1£©¼××éͬѧÔÚʵÑéʱ£¬ÓÃËûÃDzâµÃµÄ¶à×éÈëÉä½ÇiÓëÕÛÉä½Çr×÷³ö
ͼÏóÈçͼ¼×Ëùʾ£¬ÔòÏÂÁÐÅж¨ÕýÈ·µÄÊÇ__________
![]()
A. ¹âÏßÊÇ´Ó¿ÕÆøÉäÈë²£Á§µÄ
B. ¸Ã²£Á§µÄÕÛÉäÂÊԼΪ0.67
C. ¸Ã²£Á§µÄÕÛÉäÂÊԼΪ1.5
D. ¸Ã²£Á§ÖÃÓÚ¿ÕÆøÖÐʱÁÙ½ç½ÇԼΪ45¡ã
£¨2£©ÒÒ×éͬѧÏÈ»³öͼÒÒËùʾµÄ×ø±êϵ£¬ÔÙÔÚy£¼0ÇøÓò·ÅÈëij½éÖÊ£¨ÒÔxÖáΪ½çÃæ£©£¬²¢Í¨¹ýʵÑé·Ö±ð±ê¼ÇÁËÕÛÉä¹âÏß¡¢ÈëÉä¹âÏß¡¢·´Éä¹âÏßͨ¹ýµÄÒ»¸öµã£¬ËüÃǵÄ×ø±ê·Ö±ðΪA£¨8£¬3£©¡¢B£¨1£¬£4£©¡¢C£¨7£¬£4£©£¬Ôò£º
¢ÙÈëÉäµãO¡ä£¨Í¼ÖÐδ±ê³ö£©µÄ×ø±êΪ___________£»
¢Úͨ¹ýͼÖÐÊý¾Ý¿ÉÒÔÇóµÃ¸Ã½éÖʵÄÕÛÉäÂÊn£½___________¡£
²é¿´´ð°¸ºÍ½âÎö>>
¿ÆÄ¿£º¸ßÖÐÎïÀí À´Ô´£º ÌâÐÍ£º
¡¾ÌâÄ¿¡¿Ä³Ñо¿Ð¡×éͨ¹ýʵÑé²âµÃÁ½»¬¿éÅöײǰºóÔ˶¯µÄʵÑéÊý¾Ý£¬µÃµ½ÈçͼËùʾµÄÎ»ÒÆ¡ªÊ±¼äͼÏó£®Í¼ÖеÄÏß¶Îa¡¢b¡¢c·Ö±ð±íÊ¾ÑØ¹â»¬Ë®Æ½ÃæÉÏͬһÌõÖ±ÏßÔ˶¯µÄ»¬¿é¢ñ¡¢¢òºÍËüÃÇ·¢ÉúÕýÅöºó½áºÏÌåµÄÎ»ÒÆ±ä»¯¹ØÏµ£®ÒÑÖªÏ໥×÷ÓÃʱ¼ä¼«¶Ì£¬ÓÉͼÏó¸ø³öµÄÐÅÏ¢¿ÉÖª(¡¡¡¡)
![]()
A. Åöǰ»¬¿é¢ñÓ뻬¿é¢òËÙ¶È´óС֮±ÈΪ7¡Ã2
B. Åöǰ»¬¿é¢ñµÄ¶¯Á¿´óС±È»¬¿é¢òµÄ¶¯Á¿´óС´ó
C. Åöǰ»¬¿é¢ñµÄ¶¯ÄܱȻ¬¿é¢òµÄ¶¯ÄÜС
D. »¬¿é¢ñµÄÖÊÁ¿ÊÇ»¬¿é¢òµÄÖÊÁ¿µÄ
²é¿´´ð°¸ºÍ½âÎö>>
¿ÆÄ¿£º¸ßÖÐÎïÀí À´Ô´£º ÌâÐÍ£º
¡¾ÌâÄ¿¡¿¼×¡¢ÒÒÁ½³µÔÚÍ¬Ò»Ë®Æ½Â·ÃæÉÏ×öÖ±ÏßÔ˶¯£¬Ä³Ê±¿ÌÒÒ³µÔÚǰ¡¢¼×³µÔÚºó£¬Ïà¾às=6m£¬´Ó´Ë¿Ì¿ªÊ¼¼ÆÊ±£¬ÒÒ³µ×ö³õËÙ¶È´óСΪ12m/s¼ÓËÙ¶È´óСΪ1m/s2µÄÔȼõËÙÖ±ÏßÔ˶¯£¬¼×³µÔ˶¯µÄs-tͼÏóÈçͼËùʾ(0-6sÊÇ¿ª¿ÚÏòϵÄÅ×ÎïÏßÒ»²¿·Ö£¬6-12sÊÇÖ±Ïߣ¬Á½²¿·Öƽ»¬ÏàÁ¬)£¬
![]()
Çó£º(1)¼×³µÔÚ¿ªÊ¼¼ÆÊ±Ê±¿ÌµÄËÙ¶Èv0ºÍ¼ÓËÙ¶Èa
(2)ÒÔºóµÄÔ˶¯¹ý³ÌÖУ¬Á½³µºÎʱÏàÓö£¿
²é¿´´ð°¸ºÍ½âÎö>>
¿ÆÄ¿£º¸ßÖÐÎïÀí À´Ô´£º ÌâÐÍ£º
¡¾ÌâÄ¿¡¿ÈçͼËùʾµÄÇúÏßÊÇijÖʵãÔÚºãÁ¦×÷ÓÃϵÄÒ»¶ÎÔ˶¯¹ì¼£Öʵã´ÓMµã³ö·¢¾Pµãµ½´ïNµã£¬ÒÑÖª»¡³¤MP´óÓÚ»¡³¤PNÖʵãÓÉMµãÔ˶¯µ½PµãÓëÓÉPµãÔ˶¯µ½NµãËùÓõÄʱ¼äÏàµÈÏÂÁÐ˵·¨ÖÐÕýÈ·µÄÊÇ
![]()
A.Öʵã´ÓMµ½N¹ý³ÌÖÐËÙ¶È´óС±£³Ö²»±ä
B.ÖʵãÔÚÕâÁ½¶Îʱ¼äÄÚµÄËٶȱ仯ÂÊΪһ¶¨Öµ
C.ÖʵãÔÚÕâÁ½¶Îʱ¼äÄÚµÄËٶȱ仯Á¿´óС²»ÏàµÈ£¬ÇÒ·½ÏòÒ²²»Ïàͬ
D.ÖʵãÔÚM¡¢N¼äµÄÔ˶¯ÊDZä¼ÓËÙÇúÏßÔ˶¯
²é¿´´ð°¸ºÍ½âÎö>>
¹ú¼ÊѧУÓÅÑ¡ - Á·Ï°²áÁбí - ÊÔÌâÁбí
ºþ±±Ê¡»¥ÁªÍøÎ¥·¨ºÍ²»Á¼ÐÅÏ¢¾Ù±¨Æ½Ì¨ | ÍøÉÏÓк¦ÐÅÏ¢¾Ù±¨×¨Çø | µçÐÅթƾٱ¨×¨Çø | ÉæÀúÊ·ÐéÎÞÖ÷ÒåÓк¦ÐÅÏ¢¾Ù±¨×¨Çø | ÉæÆóÇÖȨ¾Ù±¨×¨Çø
Î¥·¨ºÍ²»Á¼ÐÅÏ¢¾Ù±¨µç»°£º027-86699610 ¾Ù±¨ÓÊÏ䣺58377363@163.com