精英家教网 > 高中物理 > 题目详情

如图(a)所示,木板OA可绕轴O在竖直平面内转动,某研究小组利用此装置探索物块在方向始终平行于斜面、大小为F=8N的力作用下加速度与斜面倾角的关系。已知物块的质量m=1kg,通过DIS实验,得到如图(b)所示的加速度与斜面倾角的关系图线。若物块与木板间的动摩擦因数为0.2,假定物块与木板间的最大静摩擦力始终等于滑动摩擦力,g取10m/s2。试问:

          

(1)图(b)中图线与纵坐标交点ao多大?

(2)图(b)中图线与θ轴交点坐标分别为θ1和θ2,木板处于该两个角度时的摩擦力指向何方?说明在斜面倾角处于θ1和θ2之间时物块的运动状态。

(3)θ1为多大?

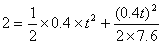
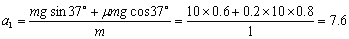
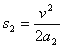
(4)如果木板长L=2m,倾角为37°,物块在F的作用下由O点开始运动,为保证物块不冲出木板顶端,力F最多作用多长时间?(取sin37°=0.6,cos37°=0.8)


(1)6(m/s2);(2)当摩擦力沿斜面向下且加速度为零时木板倾角为θ1,当摩擦力沿斜面向上且加速度为零时木板倾角为θ2,这时物块处于静止状态.(3)40.4°;(4)3.1s.  解析: (1)当木板水平放置时,物块的加速度为a0

     此时滑动摩擦力f = μN = μmg=0.2×1×10 = 2 N

     =6 m/s2    

(2)当摩擦力沿斜面向下且加速度为零时木板倾角为θ1,当摩擦力沿斜面向上且加速

     度为零时木板倾角为θ2,这时物块处于静止状态。

(3)N1=mgcosθ1F1=μN1=μmgcosθ1   F=mgsinθ1+μmgcosθ1

     联立方程8 = 10sinθ1+ 2cosθ1         解得θ1≈40.4°

(4)力F作用时的加速度

     m/s2

     撤去力F后的加速度大小

      (m/s2)  

     设物块不冲出木板顶端,力F最长作用时间为t

     则撤去力F时的速度v=a1t            

     位移撤去力F后运动的距离   

     由题意有                     

     即 解得:t≈3.1s 

【思路点拨】(1)纵坐标交点表示木板水平放置时的加速度,根据牛顿第二定律即可求解;(2)当摩擦力沿斜面向下且加速度为零时木板倾角为θ1,当摩擦力沿斜面向上且加速度为零时木板倾角为θ2,这时物块处于静止状态;(3)当摩擦力沿斜面向下且加速度为零时木板倾角为θ1,对木块进行受力分析,根据平衡条件即可求解;(4)根据牛顿第二定律分别求出有F和撤去F时的加速度,根据匀变速直线运动的基本公式求出这两个过程的位移,根据两段位移之和为L求解.本题主要考查了牛顿第二定律及运动学基本公式的直接应用,要求同学们能根据图象得出有效信息,难度适中.

练习册系列答案
相关习题

科目:高中物理 来源: 题型:


直径d=1.00m,高H=0.50m的不透明圆桶,放在水平地面上,桶内盛有折射率n=1.60的透明液体,某人站在地面上离桶中心的距离为x=2.10m处,他的眼睛到地面的距离y=1.70m,问桶中液面高h为多少时,他能看到桶底中心?(桶壁厚度不计)

查看答案和解析>>

科目:高中物理 来源: 题型:


如图所示,在xoy平面的第II象限内有半径为R的圆分别与x轴、y轴相切于P、Q两点,圆内存在垂直于xoy面向外的匀强磁场.在第I象限内存在沿轴y负方向的匀强电场,电场强度为E.一带正电的粒子(不计重力)以速率v0从P点射入磁场后恰好垂直y轴进入电场,最后从M(3R,0)点射出电场,出射方向与x轴正方向夹角为α,且满足α=45°,求:

(1)带电粒子的比荷;

(2)磁场磁感应强度B的大小;

(3)粒子从P点入射磁场到M点射出电场的时间.

查看答案和解析>>

科目:高中物理 来源: 题型:


有一直角三角形OAC,OC长为12cm,∠C=30°,AC上方存在垂直纸面向里的匀强磁场,磁感应强度B1=1T,OA左侧也存在垂直纸面向里的匀强磁场,磁感应强度大小B2未知,一质量为m=8×10﹣10kg、电荷量q=1×10﹣4C的带正电粒子从C点以垂直于OC的速度v进入磁场,恰好经A点到达O点,不计粒子重力,求:

(1)未知匀强磁场的磁感应强度B2的大小;

(2)粒子在磁场中从C点经A点到达O点运动的总时间.

查看答案和解析>>

科目:高中物理 来源: 题型:


如图所示,M为水平放置的橡胶圆盘,在其外侧面均匀地带有负电荷.在M正上方用丝线悬挂一个闭合铝环N,铝环也处于水平面中,且M盘和N环的中心在同一条竖直线O1O2上.现让橡胶圆盘由静止开始绕O1O2轴按图示方向逆时针加速转动,下列说法正确的是( ▲ )]

 A.铝环N 对橡胶圆盘M的作用力方向竖直向下 

 B.铝环N对橡胶圆盘M的作用力方向竖直向上

 C.铝环N 有扩大的趋势,丝线对它的拉力增大 

 D.铝环N 有缩小的趋势,丝线对它的拉力减小

查看答案和解析>>

科目:高中物理 来源: 题型:


如图所示,实线表示某静电场的电场线,虚线表示该电场的等势面.下列判断正确的是(  )

A. 1、2两点的场强相同     B. 2、3两点的场强相同

C. 1、2两点的电势相等     D. 2、3两点的电势相等

查看答案和解析>>

科目:高中物理 来源: 题型:


如图所示,质量为m、长为L的导体棒电阻为R,轨道电阻不计.初始时静止于光滑的水平轨道上,电源电动势为E,内阻不计.匀强磁场的磁感应强度为B,其方向与轨道平面成θ角斜向上方,开关闭合后导体棒开始运动,则(  )

A.导体棒向左运动

B.开关闭合瞬间导体棒MN所受安培力为

C.开关闭合瞬间导体棒MN所受安培力为

D.开关闭合瞬间导体棒MN的加速度为

查看答案和解析>>

科目:高中物理 来源: 题型:


位于正方形四角上的四个等量点电荷的电场线分布如右图所示,abcd分别是正方形两条边中垂线,O点为中垂线的交点,PQ分别为cdab上的点。则下列说法正确的是

A.PO两点的电势关系为φPφO

B.PQ两点电场强度的大小关系为EQEP

C.若在O点放一正点电荷,则该正点电荷受到的电场力不为零

D.若将某一负电荷由P点沿着图中曲线PQ移到Q点,电场力做负功

查看答案和解析>>

科目:高中物理 来源: 题型:


如图,两根相距l=1m平行光滑长金属导轨电阻不计,被固定在绝缘水平面上,两导轨左端接有R=2Ω的电阻,导轨所在区域内加上与导轨垂直、方向相反的磁场,磁场宽度d相同且为0.6m,磁感应强度大小B1=T、B2=0.8T。现有电阻r=1Ω的导体棒ab垂直导轨放置且接触良好,当导体棒ab以v=5m/s从边界MN进入磁场后,在拉力作用下始终作匀速运动,求:

(1)导体棒ab进入磁场B1时拉力的功率

(2)导体棒ab匀速运动过程中电阻R两端的电压有效值

查看答案和解析>>

同步练习册答案