精英家教网 > 高中物理 > 题目详情

已知一足够长的传送带与水平面的倾角为θ,以一定的速度匀速运动。某时刻在传送带适当的位置放上具有一定初速度的物块(如图a所示),以此时为t=0时刻纪录了小物块之后在传送带上运动速度随时间的变化关系,如图b所示(图中取沿斜面向上的运动方向为正方向,其中两坐标大小v1>v2)。已知传送带的速度保持不变。(g取10 m/s2),则(    )

A.0~t1内,物块对传送带做正功

B.物块与传送带间的动摩擦因数为μ,μ<tanθ

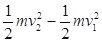
C.0~t2内,传送带对物块做功为W=

D.系统产生的热量大小一定大于物块动能的变化量大小

 

【答案】

 D

【解析】

试题分析: 由图知,物块先向下运动后向上运动,则知传送带的运动方向应向上.0~t1内,物块对传送带的摩擦力方向沿传送带向下,则物块对传送带做负功.故A错误;在t1~t2内,物块向上运动,则有 μmgcosθ>mgsinθ,得μ>tanθ.故B错误;0~t2内,由图“面积”等于位移可知,物块的总位移沿斜面向下,高度下降,重力对物块做正功,设为WG,根据动能定理得:W+WG=则传送带对物块做功W≠,故C错误;物块的重力势能减小、动能也减小都转化为系统产生的内能,则由能量守恒得知,系统产生的热量大小一定大于物块动能的变化量大小.故D正确.

考点:动能定理的应用;牛顿第二定律

 

练习册系列答案
相关习题

科目:高中物理 来源: 题型:

已知一足够长的传送带与水平面的倾角为θ,以一定的速度匀速运动.某时刻在传送带适当的位置放上具有一定初速度的物块(如图a所示),以此时为t=0时刻纪录了小物块之后在传送带上运动的速度随时间的变化关系,如图b所示(图中取沿斜面向上的运动方向为正方向,其中两坐标大小v1>v2).已知传送带的速度保持不变,g取10m/s2.则下列判断正确的是(  )

查看答案和解析>>

科目:高中物理 来源: 题型:

已知一足够长的传送带与水平面的倾角为θ,以一定的速度匀速运动.某时刻在传送带适中的位置放上一定初速度的物块(如图a),以此时为t=0时刻纪录了小物块之后在传送带上运动速度随时间的变化关系,如图b所示(图中取沿斜面向上的运动方向为正方向,其中两坐标大小v1>v2).已知传送带的速度保持不变,物块与传送带间的动摩擦因数μ>tanθ(g=10m/s2),则(  )

查看答案和解析>>

科目:高中物理 来源: 题型:

已知一足够长的传送带与水平面的倾角为θ,以一定的速度匀速运动.某时刻在传送带适中的位置冲上一定初速度的物块(如图a),以此时为t=0时刻纪录了小物块之后在传送带上运动速度随时间的变化关系,如图b所示(图中取沿斜面向上的运动方向为正方向,其中两坐标大小v1>v2).已知传送带的速度保持不变,物块与传送带间的μ>tanθ(g取10m/s2),则(  )

查看答案和解析>>

科目:高中物理 来源: 题型:

已知一足够长的传送带与水平面的倾角为θ,以一定的速度匀速运动.某时刻在传送带适当的位置放上具有一定初速度的物块(如图甲所示),以此时为t=0时刻纪录了小物块之后在传送带上运动速度随时间的变化关系,如图乙所示(图中取沿斜面向上的运动方向为正方向,其中两坐标大小v1>v2).已知传送带的速度保持不变(g取10m/s2),则 (  )

查看答案和解析>>

科目:高中物理 来源: 题型:

精英家教网已知一足够长的传送带与水平面的倾角为30°,以一定的速度匀速运动.某时刻在传送带适当的位置放上具有一定初速度的物块,物块的质量m=1kg,以此时为t=0时刻记录了小物块之后在传送带上运动速度随时间的变化关系如图所示,若图中取沿斜面向下的运动方向为正方向,其中v1=-6m/s,v2=4m/s,t1=0.5s,g取10m/s2,已知传送带的速度保持不变. 求:
(1)物块与传送带间的摩擦系数;
(2)0~t2内带动传送带的电动机多消耗的电能;
(3)0~t2 内系统产生的内能.

查看答案和解析>>

同步练习册答案