精英家教网 > 高中物理 > 题目详情
在追寻科学家研究足迹的过程中,某同学为探究恒力做功和物体动能变化间的关系,采用了如图l 所示的“探究物体加速度与物体质量、受力之间关系”的实验装置。
(1)实验时,该同学想用钩码的重力表示滑块受到的合力,为了减小这种做法带来的实验误差,你认为在实验中应该采取的两项措施是____________和____________;
(2)如图2所示是实验中得到的一条纸带,其中A、B、C、D、E、F是连续的六个计数点,相邻计数点间的时间间隔为T,相邻计数点间距离已在图中标出,测出小车的质量为M,钩码的总质量为m。从打B点到打E点的过程中,为达到实验目的,该同学应该寻找____________和____________之间的数值关系(用题中和图中的物理量符号表示)。
(1)保证钩码的总质量远小于滑块的质量,平衡摩擦力
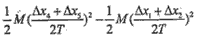
(2)
练习册系列答案
相关习题

科目:高中物理 来源: 题型:

在追寻科学家研究足迹的过程中,某同学为探究恒力做功和物体动能变化间的关系,采用了如图( l )所示的“探究物体加速度与物体质量、受力之间关系”的实验装置.
①实验时,该同学想用钩码的重力表示滑块受到的合力,为了减小这种做法带来的实验误差,你认为在实验中应该采取的两项措施是
 
 

②如图( 2 )所示是实验中得到的一条纸带,其中 A、B、C、D、E、F 是连续的六个计数点,相邻计数点间的时间间隔为 T,相邻计数点间距离已在图中标出,测出小车的质量为 M,钩码的总质量为 m.从打 B 点到打 E 点的过程中,为达到实验目的,该同学应该寻找
 
  和
 
之间的数值关系(用题中和图中的物理量符号表示).精英家教网

查看答案和解析>>

科目:高中物理 来源: 题型:阅读理解

(1)在追寻科学家研究足迹的过程中,某同学为探究恒力做功和物体动能变化间的关系,采用了如图(l)所示的“探究物体加速度与物体质量、受力之间关系”的实验装置.
①实验时,该同学想用钩码的重力表示滑块受到的合力,为了减小这种做法带来的实验误差,你认为在实验中应该采取的两项措施是
平衡摩擦力
平衡摩擦力
钩码的总质量远小于滑块的质量
钩码的总质量远小于滑块的质量

②如图(2)所示是实验中得到的一条纸带,其中 A、B、C、D、E、F 是连续的六个计数点,相邻计数点间的时间间隔为 T,相邻计数点间距离已在图中标出,测出小车的质量为 M,钩码的总质量为 m.从打 B 点到打 E 点的过程中,为达到实验目的,该同学应该寻找
mg(
△x
 
2
+
△x
 
3
+
△x
 
4
mg(
△x
 
2
+
△x
 
3
+
△x
 
4
  和
1
2
M(
△x
 
4
+
△x
 
5
2t
)
2
 
-
1
2
M(
△x
 
1
+
△x
 
2
2t
)
2
 
1
2
M(
△x
 
4
+
△x
 
5
2t
)
2
 
-
1
2
M(
△x
 
1
+
△x
 
2
2t
)
2
 
之间的数值关系(用题中和图中的物理量符号表示).

(2)测量电阻器的电阻时,有下列器材可供选择
A.待测电阻器(阻值约为5Ω)
B.电流表A1(量程3mA,内阻r1=10Ω)
C.电流表A2(量程0.6A,内阻r2约为1Ω)
D.电压表V(量程6V,内阻约3KΩ)
E.定值电阻R1=990Ω
F.定值电阻R2=9990Ω
G.滑线变阻器(最大阻值为4Ω,额定电流为0.5A)
H.电源(电动势2V,内阻约为1Ω)
I.导线、电键
①为尽可能多测几组数据设计电路填在右图方框中
如图
如图


②选择的器材有
ABCEGHI
ABCEGHI

③计算Rx的表达式
R
 
x
=
I
 
1
(r
 
1
+R
 
1
)
I
 
2
-I
 
1
R
 
x
=
I
 
1
(r
 
1
+R
 
1
)
I
 
2
-I
 
1
(用电表的读数和定值电阻的阻值表示)

查看答案和解析>>

科目:高中物理 来源: 题型:

在追寻科学家研究足迹的过程中,某同学为探究恒力做功和物体动能变化间的关系,采用了如图中( l )图所示的“探究物体加速度与物体质量、受力之间关系”的实验装置.

1.实验时,该同学想用钩码的重力表示滑块受到的合力,为了减小这种做法带来的实验误差,你认为在实验中应该采取的两项措施是                                 ;

2.如图中( 2 )图所示是实验中得到的一条纸带,其中 A 、 B 、 C 、 D 、 E 、 F 是连续的六个计数点,相邻计数点间的时间间隔为 T ,相邻计数点间距离已在图中标出,测出小车的质量为 M ,钩码的总质量为 m .从打 B 点到打 E 点的过程中,为达到实验目的,该同学应该寻找的数值关系是               (用题中和图中的物理量符号表示)。

 

查看答案和解析>>

科目:高中物理 来源:2011年陕西省高三第四次月考物理卷 题型:实验题

在追寻科学家研究足迹的过程中,某同学为探究恒力做功和物体动能变化间的关系,采用了如图中( l )图所示的“探究物体加速度与物体质量、受力之间关系”的实验装置.

1.实验时,该同学想用钩码的重力表示滑块受到的合力,为了减小这种做法带来的实验误差,你认为在实验中应该采取的两项措施是                                  ;

2.如图中( 2 )图所示是实验中得到的一条纸带,其中 A 、 B 、 C 、 D 、 E 、 F 是连续的六个计数点,相邻计数点间的时间间隔为 T ,相邻计数点间距离已在图中标出,测出小车的质量为 M ,钩码的总质量为 m .从打 B 点到打 E 点的过程中,为达到实验目的,该同学应该寻找的数值关系是                (用题中和图中的物理量符号表示)。

 

查看答案和解析>>

科目:高中物理 来源: 题型:

在追寻科学家研究足迹的过程中,某同学为探究恒力做功和物体动能变化间的关系,采用了如图14中( l )图所示的“探究物体加速度与物体质量、受力之间关系”的实验装置.

      ( 1 )实验时,该同学想用钩码的重力表示滑块受到的合力,为了减小这种做法带来的实验误差,你认为在实验中应该采取的两项措施是                                  ;

      ( 2 )如图14中( 2 )图所示是实验中得到的一条纸带,其中 A 、 B 、 C 、 D 、 E 、 F 是连续的六个计数点,相邻计数点间的时间间隔为 T ,相邻计数点间距离已在图中标出,测出小车的质量为 M ,钩码的总质量为 m .从打 B 点到打 E 点的过程中,为达到实验目的,该同学应该寻找的数值关系是                (用题中和图中的物理量符号表示)。

图14

查看答案和解析>>

同步练习册答案