精英家教网 > 高中物理 > 题目详情
小球A和B的质量分别为mA和mB,且mA>mB。在某高度处将A和B先后从静止释放小球A与水平地面碰撞后向上弹回,在释放处下方与释放处距离为H的地方恰好与正在下落的小球B发生正碰。设所有碰撞都是弹性的,碰撞时间极短。求小球A、B碰撞后B上升的最大高度。
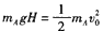
解:根据题意,由运动学规律可知,小球A与B碰撞前的速度大小相等,设均为v0。由机械能守恒有
  ①
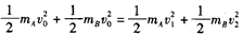
设小球A与B碰撞后的速度分别为v1和v2,以竖直向上方向为正,由动量守恒有
mAv0+mB(-v0)=mAv1+mBv2
由于两球碰撞过程中能量守恒,故
  ③
联立②③式得  ④
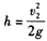
 设小球B能上升的最大高度为h,由运动学公式有
由①④⑤式得  ⑥
练习册系列答案
相关习题

科目:高中物理 来源: 题型:

(2011?海淀区模拟)向心力演示器如图所示.转动手柄1,可使变速塔轮2和3以及长槽4和短槽5随之匀速转动,槽内的小球就做匀速圆周运动.小球做圆周运动的向心力由横臂6的挡板对小球的压力提供,球对挡板的反作用力通过横臂的杠杆使弹簧测力套筒7下降,从而露出标尺8,标尺8上露出的红白相间等分格子的多少可以显示出两个球所受向心力的大小.皮带分别套在塔轮2和3上的不同圆盘上,可改变两个塔轮的转速比,以探究物体做圆周运动的向心力大小跟哪些因素有关、具体关系怎样.现将小球A和B分别放在两边的槽内,小球A和B的质量分别为mA和mB,做圆周运动的半径分别为rA和rB.皮带套在两塔轮半径相同的两个轮子上,实验现象显示标尺8上左边露出的等分格子多于右边,则下列说法正确的(  )

查看答案和解析>>

科目:高中物理 来源: 题型:

如图所示,两个可视为质点的小球a和b,用质量可忽略的刚性细杆相连,放置在一个光滑的半球面内,已知小球a和b的质量分别为
3
m、m.细杆长度是球面半径的
2
倍.两球处于平衡状态时,有关下列说法正确的是(  )

查看答案和解析>>

科目:高中物理 来源: 题型:

如图所示,两个可视为质点的小球a和b,用质量可忽略的刚性细杆相连,放置在一个光滑的半球面内,已知小球a和b的质量分别为
3
m、m.细杆长度是球面半径的
2
倍.两球处于平衡状态时,下列说法正确的是(  )

查看答案和解析>>

科目:高中物理 来源: 题型:

小球A和B的质量分别为mA和mB,且mA>mB.在某高度处将A和B先后从静止释放.小球A与水平地面碰撞后向上弹回,在释放处的下方与释放处距离为H的地方恰好与正在下落的小球B发生正碰.设所有碰撞都是弹性的,碰撞时间极短.求小球A、B碰撞后B上升的最大高度.

查看答案和解析>>

科目:高中物理 来源: 题型:

(1)下列关于原子和原子核的说法正确的是
 

A.β衰变现象说明电子是原子核的组成部分
B.玻尔理论的假设之一是原子能量的量子化
C.放射性元素的半衰期随温度的升高而变短
D.比结合能越小表示原子核中的核子结合得越牢固
(2)小球A和B的质量分别为mA和mB 且mA>mB在某高度处将A和B先后从静止释放.小球A与水平地面碰撞后向上弹回,在释放处的下方与释放初距离为H的地方恰好与正在下落的小球B发生正幢,设所有碰撞都是弹性的,碰撞时间极短.求小球A、B碰撞后B上升的最大高度.

查看答案和解析>>

同步练习册答案