ÓÐÁ½¸öÍêÈ«ÏàͬµÄС»¬¿éAºÍB£¬AÑØ¹â»¬Ë®Æ½ÃæÒÔËÙ¶Èv0Óë¾²Ö¹ÔÚÆ½Ãæ±ßÔµOµãµÄB·¢ÉúÕýÅö£¬ÅöײÖÐÎÞ»úеÄÜËðʧ£®ÅöºóBÔ˶¯µÄ¹ì¼£ÎªODÇúÏߣ¬ÈçͼËùʾ£®

(1)ÒÑÖª»¬¿éÖÊÁ¿Îªm£¬Åöײʱ¼äΪ¦¤t£¬ÇóÅöײ¹ý³ÌÖÐA¶ÔBƽ¾ù³åÁ¦µÄ´óС£®

(2)ΪÁËÑо¿ÎïÌå´Ó¹â»¬Å×ÎïÏß¹ìµÀ¶¥¶ËÎÞ³õËÙÏ»¬µÄÔ˶¯£¬ÌØÖÆ×öÒ»¸öÓëBƽÅ×¹ìµÀÍêÈ«ÏàͬµÄ¹â»¬¹ìµÀ£¬²¢½«¸Ã¹ìµÀ¹Ì¶¨ÔÚÓëODÇúÏßÖØºÏµÄλÖã¬ÈÃAÑØ¸Ã¹ìµÀÎÞ³õËÙÏ»¬(¾­·ÖÎö£¬AÏ»¬¹ý³ÌÖв»»áÍÑÀë¹ìµÀ)£®

a£®·ÖÎöAÑØ¹ìµÀÏ»¬µ½ÈÎÒâÒ»µãµÄ¶¯Á¿pAÓëBƽÅ×¾­¹ý¸ÃµãµÄ¶¯Á¿pBµÄ´óС¹ØÏµ£»

b£®ÔÚODÇúÏßÉÏÓÐÒ»Mµã£¬OºÍMÁ½µãÁ¬ÏßÓëÊúÖ±·½ÏòµÄ¼Ð½ÇΪ45¡ã£®ÇóAͨ¹ýMµãʱµÄˮƽ·ÖËٶȺÍÊúÖ±·ÖËÙ¶È£®

´ð°¸£º
½âÎö£º

¡¡¡¡(1)»¬¿éAÓëBÕýÅö£¬Âú×㶯Á¿Êغ㡢»úеÄÜÊØºã£¬ÓУº

¡¡¡¡mvA£­mVB£½mv0

¡¡¡¡£½

¡¡¡¡ÓÉÒÔÉÏÁ½Ê½£¬½âµÃvA£½0£¬vB£½v0

¡¡¡¡¶Ô»¬¿éB£¬¸ù¾Ý¶¯Á¿¶¨ÀíÓÐ

¡¡¡¡½âµÃ

¡¡¡¡(2)a£®ÉèÈÎÒâµãµ½OµãÊúÖ±¸ß¶È²îΪd£®A¡¢BÓÉOµã·Ö±ðÔ˶¯ÖÁ¸Ãµã¹ý³ÌÖУ¬Ö»ÓÐÖØÁ¦×ö¹¦£¬»úеÄÜÊØºã£®

¡¡¡¡Ñ¡¸ÃÈÎÒâµãÎªÊÆÄÜÁãµã£¬ÔòÓУºEA£½mgd£¬EB£½mgd£«

¡¡¡¡ÓÉÓÚp£½£¬ÓУ½£¼1

¡¡¡¡¿É¼ûPA£¼PB£¬¼´AÏ»¬µ½ÈÎÒâÒ»µãµÄ¶¯Á¿×ÜÊÇСÓÚBƽÅ×¾­¹ý¸ÃµãµÄ¶¯Á¿£®

¡¡¡¡b£®ÒÔOΪԭµã£¬½¨Á¢Ö±½Ç×ø±êϵxOy£¬xÖáÕý·½ÏòˮƽÏòÓÒ£¬yÖáÕý·½ÏòÊúÖ±ÏòÏ£¬¸ù¾ÝƽÅ×Ô˶¯ÖªÊ¶£¬¶ÔBÓУº£¬

¡¡¡¡¿É½âµÃBµÄ¹ì¼£·½³ÌΪ£º

¡¡¡¡ÔÚMµãÓУºx£½y£¬Ôò

¡¡¡¡ÒòΪA¡¢BµÄÔ˶¯¹ì¼£¾ùΪODÇúÏߣ¬¹ÊÔÚÈÎÒâÒ»µã£¬Á½ÕßËÙ¶È·½ÏòÏàͬ£®ÉèBˮƽºÍÊúÖ±·ÖËÙ¶È´óС·Ö±ðΪvBxºÍvBy£¬ËÙÂÊΪvB£»AˮƽºÍÊúÖ±·ÖËÙ¶È´óС·Ö±ðΪvAxºÍvAy£¬ËÙÂÊΪvA£»Ôò£¬£®

¡¡¡¡B×öƽÅ×Ô˶¯£¬¹Ê£¬£¬

¡¡¡¡¶Ô»¬¿éA£¬ÓÉ»úеÄÜÊØºã¶¨ÂɵÃvA£½2gyM

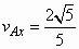
¡¡¡¡½áºÏÒÔÉÏÈýʽ£¬¿ÉµÃ£º£¬

¡¡¡¡½«¢Û´úÈëµÃ£º£¬


Á·Ï°²áϵÁдð°¸
Ïà¹ØÏ°Ìâ

¿ÆÄ¿£º¸ßÖÐÎïÀí À´Ô´£º ÌâÐÍ£º

£¨2008?±±¾©£©ÓÐÁ½¸öÍêÈ«ÏàͬµÄС»¬¿éAºÍB£¬AÑØ¹â»¬Ë®Æ½ÃæÒÔËÙ¶Èv0Óë¾²Ö¹ÔÚÆ½Ãæ±ßÔµOµãµÄB·¢ÉúÕýÅö£¬ÅöײÖÐÎÞ»úеÄÜËðʧ£®ÅöºóBÔ˶¯µÄ¹ì¼£ÎªODÇúÏߣ¬ÈçͼËùʾ£®
£¨1£©ÒÑÖª»¬¿éÖÊÁ¿Îªm£¬Åöײʱ¼äΪ¡÷t£¬ÇóÅöײ¹ý³ÌÖÐA¶ÔBƽ¾ù³åÁ¦µÄ´óС£®
£¨2£©ÎªÁËÑо¿ÎïÌå´Ó¹â»¬Å×ÎïÏß¹ìµÀ¶¥¶ËÎÞ³õËÙÏ»¬µÄÔ˶¯£¬ÌØÖÆ×öÒ»¸öÓëBƽÅ×¹ìµÀÍêÈ«ÏàͬµÄ¹â»¬¹ìµÀ£¬²¢½«¸Ã¹ìµÀ¹Ì¶¨ÔÚÓëODÇúÏßÖØºÏµÄλÖã¬ÈÃAÑØ¸Ã¹ìµÀÎÞ³õËÙÏ»¬£¨¾­·ÖÎö£¬AÏ»¬¹ý³ÌÖв»»áÍÑÀë¹ìµÀ£©£®
a£®·ÖÎöAÑØ¹ìµÀÏ»¬µ½ÈÎÒâÒ»µãµÄ¶¯Á¿pAÓëBƽÅ×¾­¹ý¸ÃµãµÄ¶¯Á¿pBµÄ´óС¹ØÏµ£»
b£®ÔÚODÇúÏßÉÏÓÐÒ»Mµã£¬OºÍMÁ½µãÁ¬ÏßÓëÊúÖ±·½ÏòµÄ¼Ð½ÇΪ45¡ã£®ÇóAͨ¹ýMµãʱµÄˮƽ·ÖËٶȺÍÊúÖ±·ÖËÙ¶È£®

²é¿´´ð°¸ºÍ½âÎö>>

¿ÆÄ¿£º¸ßÖÐÎïÀí À´Ô´£º ÌâÐÍ£º

ÓÐÁ½¸öÍêÈ«ÏàͬµÄС»¬¿éAºÍB£¬AÑØ¹â»¬Ë®Æ½ÃæÒÔËÙ¶Èv0Óë¾²Ö¹ÔÚÆ½Ãæ±ßÔµOµãµÄB·¢ÉúÕýÅö£¬ÅöײÖÐÎÞ»úеÄÜËðʧ¡£ÅöºóBÔ˶¯µÄ¹ì¼£ÎªODÇúÏߣ¬ÈçͼËùʾ¡££¨1£©ÒÑÖª»¬¿éÖÊÁ¿Îªm,Åöײʱ¼äΪ£¬ÇóÅöײ¹ý³ÌÖÐA¶ÔBƽ¾ù³åÁ¦µÄ´óС¡££¨2£©ÎªÁËÑо¿ÎïÌå´Ó¹â»¬Å×ÎïÏß¹ìµÀ¶¥¶ËÎÞ³õËÙÏ»¬µÄÔ˶¯£¬ÌØÖÆ×öÒ»¸öÓëBƽÅ×¹ìµÀÍêÈ«ÏàͬµÄ¹â»¬¹ìµÀ£¬²¢½«¸Ã¹ìµÀ¹Ì¶¨ÔÚÓëODÇúÏßÖØºÏµÄλÖã¬ÈÃAÑØ¸Ã¹ìµÀÎÞ³õËÙÏ»¬£¨¾­·ÖÎö£¬AÏ»¬¹ý³ÌÖв»»áÍÑÀë¹ìµÀ£©¡£

a.·ÖÎöAÑØ¹ìµÀÏ»¬µ½ÈÎÒâÒ»µãµÄ¶¯Á¿pAÓëBƽÅ×¾­¹ý¸ÃµãµÄ¶¯Á¿pBµÄ´óС¹ØÏµ;

b.ÔÚODÇúÏßÉÏÓÐÒ»Mµã£¬OºÍMÁ½µãÁ¬ÏßÓëÊúÖ±·½ÏòµÄ¼Ð½ÇΪ45¡ã¡£ÇóAͨ¹ýMµãʱµÄˮƽ·ÖËٶȺÍÊúÖ±·ÖËÙ¶È¡£

²é¿´´ð°¸ºÍ½âÎö>>

¿ÆÄ¿£º¸ßÖÐÎïÀí À´Ô´£º ÌâÐÍ£º

ÓÐÁ½¸öÍêÈ«ÏàͬµÄС»¬¿éAºÍB,AÑØ¹â»¬Ë®Æ½ÃæÒÔËÙ¶Èv0Óë¾²Ö¹ÔÚÆ½Ãæ±ßÔµOµãµÄB·¢ÉúÕýÅö,ÅöײÖÐÎÞ»úеÄÜËðʧ.ÅöºóBÔ˶¯µÄ¹ì¼£ÎªODÇúÏß,ÈçͼËùʾ.

£¨1£©ÒÑ֪С»¬¿éÖÊÁ¿Îªm,Åöײʱ¼äΪ¦¤t,ÇóÅöײ¹ý³ÌÖÐA¶ÔBƽ¾ù³åÁ¦µÄ´óС£»

£¨2£©ÎªÁËÑо¿ÎïÌå´Ó¹â»¬Å×ÎïÏß¹ìµÀ¶¥¶ËÎÞ³õËÙ¶ÈÏ»¬µÄÔ˶¯,ÌØÖÆ×öÒ»¸öÓëBƽÅ׹켣ÍêÈ«ÏàͬµÄ¹â»¬¹ìµÀ,²¢½«¸Ã¹ìµÀ¹Ì¶¨ÔÚÓëODÇúÏßÖØºÏµÄλÖÃ,ÈÃAÑØ¸Ã¹ìµÀÎÞ³õËÙÏ»¬£¨¾­·ÖÎö,AÏ»¬¹ý³ÌÖв»»áÍÑÀë¹ìµÀ£©.

a.·ÖÎöAÑØ¹ìµÀÏ»¬µ½ÈÎÒâÒ»µãµÄ¶¯Á¿pAÓëBƽÅ×¾­¹ý¸ÃµãµÄ¶¯Á¿pBµÄ´óС¹ØÏµ;

b.ÔÚODÇúÏßÉÏÓÐÒ»µãM,OºÍMÁ½µãÁ¬ÏßÓëÊúÖ±·½ÏòµÄ¼Ð½ÇΪ45¡ã.ÇóAͨ¹ýMµãʱµÄˮƽ·ÖËٶȺÍÊúÖ±·ÖËÙ¶È.

²é¿´´ð°¸ºÍ½âÎö>>

¿ÆÄ¿£º¸ßÖÐÎïÀí À´Ô´£º ÌâÐÍ£º

£¨16·Ö£©

ÓÐÁ½¸öÍêÈ«ÏàͬµÄС»¬¿éAºÍB£¬AÑØ¹â»¬Ë®Æ½ÃæÒÔËÙ¶Èv0Óë¾²Ö¹ÔÚÆ½Ãæ±ßÔµOµãµÄB·¢ÉúÕýÅö£¬ÅöײÖÐÎÞ»úеÄÜËðʧ¡£ÅöºóBÔ˶¯µÄ¹ì¼£ÎªODÇúÏߣ¬ÈçͼËùʾ¡£

£¨1£©ÒÑÖª»¬¿éÖÊÁ¿Îªm,Åöײʱ¼äΪ£¬ÇóÅöײ¹ý³ÌÖÐA¶ÔBƽ¾ù³åÁ¦µÄ´óС¡£

£¨2£©ÎªÁËÑо¿ÎïÌå´Ó¹â»¬Å×ÎïÏß¹ìµÀ¶¥¶ËÎÞ³õËÙÏ»¬µÄÔ˶¯£¬ÌØÖÆ×öÒ»¸öÓëBƽÅ×¹ìµÀÍêÈ«ÏàͬµÄ¹â»¬¹ìµÀ£¬²¢½«¸Ã¹ìµÀ¹Ì¶¨ÔÚÓëODÇúÏßÖØºÏµÄλÖã¬ÈÃAÑØ¸Ã¹ìµÀÎÞ³õËÙÏ»¬£¨¾­·ÖÎö£¬AÏ»¬¹ý³ÌÖв»»áÍÑÀë¹ìµÀ£©¡£

a£®·ÖÎöAÑØ¹ìµÀÏ»¬µ½ÈÎÒâÒ»µãµÄ¶¯Á¿pAÓëBƽÅ×¾­¹ý¸ÃµãµÄ¶¯Á¿pBµÄ´óС¹ØÏµ£»

b£®ÔÚODÇúÏßÉÏÓÐÒ»Mµã£¬OºÍMÁ½µãÁ¬ÏßÓëÊúÖ±·½ÏòµÄ¼Ð½ÇΪ45¡ã¡£ÇóAͨ¹ýMµãʱµÄˮƽ·ÖËٶȺÍÊúÖ±·ÖËÙ¶È¡£

 

²é¿´´ð°¸ºÍ½âÎö>>

¿ÆÄ¿£º¸ßÖÐÎïÀí À´Ô´£º2010ÄêºÓ±±Ê¡Õý¶¨ÖÐѧ¸ßÈýÉÏѧÆÚµÚ¶þ´ÎÔ¿¼ÎïÀíÊÔÌâ ÌâÐÍ£º¼ÆËãÌâ

£¨16·Ö£©
ÓÐÁ½¸öÍêÈ«ÏàͬµÄС»¬¿éAºÍB£¬AÑØ¹â»¬Ë®Æ½ÃæÒÔËÙ¶Èv0Óë¾²Ö¹ÔÚÆ½Ãæ±ßÔµOµãµÄB·¢ÉúÕýÅö£¬ÅöײÖÐÎÞ»úеÄÜËðʧ¡£ÅöºóBÔ˶¯µÄ¹ì¼£ÎªODÇúÏߣ¬ÈçͼËùʾ¡£
£¨1£©ÒÑÖª»¬¿éÖÊÁ¿Îªm,Åöײʱ¼äΪ£¬ÇóÅöײ¹ý³ÌÖÐA¶ÔBƽ¾ù³åÁ¦µÄ´óС¡£
£¨2£©ÎªÁËÑо¿ÎïÌå´Ó¹â»¬Å×ÎïÏß¹ìµÀ¶¥¶ËÎÞ³õËÙÏ»¬µÄÔ˶¯£¬ÌØÖÆ×öÒ»¸öÓëBƽÅ×¹ìµÀÍêÈ«ÏàͬµÄ¹â»¬¹ìµÀ£¬²¢½«¸Ã¹ìµÀ¹Ì¶¨ÔÚÓëODÇúÏßÖØºÏµÄλÖã¬ÈÃAÑØ¸Ã¹ìµÀÎÞ³õËÙÏ»¬£¨¾­·ÖÎö£¬AÏ»¬¹ý³ÌÖв»»áÍÑÀë¹ìµÀ£©¡£
a£®·ÖÎöAÑØ¹ìµÀÏ»¬µ½ÈÎÒâÒ»µãµÄ¶¯Á¿pAÓëBƽÅ×¾­¹ý¸ÃµãµÄ¶¯Á¿pBµÄ´óС¹ØÏµ£»
b£®ÔÚODÇúÏßÉÏÓÐÒ»Mµã£¬OºÍMÁ½µãÁ¬ÏßÓëÊúÖ±·½ÏòµÄ¼Ð½ÇΪ45¡ã¡£ÇóAͨ¹ýMµãʱµÄˮƽ·ÖËٶȺÍÊúÖ±·ÖËÙ¶È¡£

²é¿´´ð°¸ºÍ½âÎö>>

ͬ²½Á·Ï°²á´ð°¸