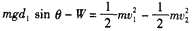
ÈçͼËùʾ£¬¼ä¾àΪlµÄÁ½Ìõ×ã¹»³¤µÄƽÐнðÊôµ¼¹ìÓëË®Æ½ÃæµÄ¼Ð½ÇΪ¦È£¬µ¼¹ì¹â»¬ÇÒµç×èºöÂÔ²»¼Æ¡£³¡Ç¿ÎªBµÄÌõÐÎÔÈÇ¿´Å³¡·½ÏòÓëµ¼¹ìÆ½Ãæ´¹Ö±£¬´Å³¡ÇøÓòµÄ¿í¶ÈΪd1£¬¼ä¾àΪd2¡£Á½¸ùÖÊÁ¿¾ùΪm¡¢ÓÐЧµç×è¾ùΪRµÄµ¼Ìå°ôaºÍb·ÅÔÚµ¼¹ìÉÏ£¬²¢Óëµ¼¹ì´¹Ö±£¨ÉèÖØÁ¦¼ÓËÙ¶ÈΪg£©¡£
£¨1£©Èôa½øÈëµÚ2¸ö´Å³¡ÇøÓòʱ£¬bÒÔÓëaͬÑùµÄËٶȽøÈëµÚ1¸ö´Å³¡ÇøÓò£¬Çób´©¹ýµÚ1¸ö´Å³¡ÇøÓò¹ý³ÌÖÐÔö¼ÓµÄ¶¯ÄÜ¡÷Ek£»
£¨2£©Èôa½øÈëµÚ2¸ö´Å³¡ÇøÓòʱ£¬bÇ¡ºÃÀ뿪µÚ1¸ö´Å³¡ÇøÓò£»´ËºóaÀ뿪µÚ2¸ö´Å³¡ÇøÓòʱ£¬bÓÖÇ¡ºÃ½øÈëµÚ2¸ö´Å³¡ÇøÓò¡£ÇÒa¡¢bÔÚÈÎÒâÒ»¸ö´Å³¡ÇøÓò»òÎ޴ų¡ÇøÓòµÄÔ˶¯Ê±¼ä¾ùÏàµÈ¡£Çóa´©¹ýµÚ2¸ö´Å³¡ÇøÓò¹ý³ÌÖУ¬Á½µ¼Ìå°ô²úÉúµÄ×ܽ¹¶úÈÈQ£»
£¨3£©¶ÔÓÚµÚ£¨2£©ÎÊËùÊöµÄÔ˶¯Çé¿ö£¬Çóa´©³öµÚk¸ö´Å³¡ÇøÓòʱµÄËÙÂÊv¡£
½â£º£¨1£©aºÍb²»Êܰ²ÅàÁ¦×÷Óã¬ÓÉ»úеÄÜÊØºãÖª¡÷Ek= mgd1sin¦È ¢Ù
£¨2£©Éèµ¼Ìå°ô¸Õ½øÈëÎ޴ų¡ÇøÓòʱµÄËÙ¶ÈΪv1£¬¸ÕÀ뿪Î޴ų¡ÇøÓòʱµÄËÙ¶ÈΪv2£¬µ¼Ìå°ôa¿Ë·þ°²ÅàÁ¦×ö¹¦ÎªW
¶Ô°ôaÔڴų¡ÇøÓò¹ý³ÌÖÐÓɶ¯Äܶ¨ÀíµÃ  ¢Ú
ͬʱ¶Ô°ôbÔÚÎ޴ų¡ÇøÓò¹ý³ÌÖÐÓɶ¯Äܶ¨ÀíµÃ  ¢Û
½âµÃW=mgd1sin¦È+mgd2sin¦È
Òò´ËÁ½°ô²úÉúµÄ×ܽ¹¶úÈÈQ=W=mg(d1+d2)sin¦È  ¢Ü
£¨3£©ÔÚÎ޴ų¡ÇøÓò¸ù¾ÝÔȱäËÙÖ±ÏßÔ˶¯¹æÂÉv2£­v1=gtsin¦È ¢Ý
ÇÒÆ½¾ùËÙ¶È  ¢Þ
Óдų¡ÇøÓò°ôaÊܵ½ºÏÁ¦F=mgsin¦È£­BIl  ¢ß
¸ÐÓ¦µç¶¯ÊƦÅ=Blv ¢à
¸ÐÓ¦µçÁ÷  ¢á
½âµÃ  ¢â
¸ù¾ÝÅ£¶ÙµÚ¶þ¶¨ÂÉ£¬ÔÚtµ½t+¡÷tʱ¼äÄÚ 
ÔòÓР
½âµÃ 
ÁªÁ¢¢Ý¢Þʽ£¬½âµÃ
ÓÉÌâÒâµÃ
Á·Ï°²áϵÁдð°¸
Ïà¹ØÏ°Ìâ

¿ÆÄ¿£º¸ßÖÐÎïÀí À´Ô´£º ÌâÐÍ£º

ÈçͼËùʾ£¬¼ä¾àΪLµÄ¹â»¬Æ½ÐнðÊôµ¼¹ì£¬Ë®Æ½µØ·ÅÖÃÔÚÊúÖ±·½ÏòµÄ´Å¸ÐӦǿ¶ÈΪBµÄÔÈÇ¿´Å³¡ÖУ¬Ò»¶Ë½Ó×èÖµÊÇRµÄµç×裮һµç×èÊÇR0£¬ÖÊÁ¿ÎªmµÄµ¼Ìå°ô·ÅÖÃÔÚµ¼¹ìÉÏ£¬ÔÚÍâÁ¦F×÷ÓÃÏ´Ót=0µÄʱ¿Ì¿ªÊ¼Ô˶¯£¬²»¼Æµ¼¹ìµç×裬
£¨1£©ÈôÆäÒÔËÙ¶ÈVÔÈËÙÔ˶¯£¬Çóͨ¹ýµç×èµÄµçÁ÷I£®
£¨2£©ÈôÆäËÙ¶ÈËæÊ±¼äµÄ±ä»¯¹æÂÉÊÇv=vmsin¦Øt£¬Çó´Ót=0µ½t=
¦Ð2¦Ø
ʱ¼äÄÚÍâÁ¦FËù×öµÄ¹¦£®

²é¿´´ð°¸ºÍ½âÎö>>

¿ÆÄ¿£º¸ßÖÐÎïÀí À´Ô´£º ÌâÐÍ£º

£¨2011?Ö麣һ죩ÈçͼËùʾ£¬¼ä¾àΪLµÄƽÐнðÊôµ¼¹ìÉÏ£¬ÓÐÒ»µç×èΪrµÄ½ðÊô°ôabÓëµ¼¹ì½Ó´¥Á¼ºÃ£®µ¼¹ì×ó¶ËÁ¬½Óµç×èR£¬ÆäËüµç×è²»¼Æ£¬´Å¸ÐӦǿ¶ÈΪB£¬½ðÊôÅõabÒÔËÙ¶ÈvÏòÓÒ×÷ÔÈËÙÔ˶¯£¬Ôò£¨¡¡¡¡£©

²é¿´´ð°¸ºÍ½âÎö>>

¿ÆÄ¿£º¸ßÖÐÎïÀí À´Ô´£º ÌâÐÍ£º

¾«Ó¢¼Ò½ÌÍøÈçͼËùʾ£¬¼ä¾àΪLµÄÁ½Ìõ×ã¹»³¤µÄƽÐнðÊôµ¼¹ìMN£¬PQÓëË®Æ½Ãæ¼Ð½ÇΪa£¬µ¼¹ìµÄµç×è²»¼Æ£¬µ¼¹ìµÄN¡¢P¶ËÁ¬½ÓÒ»×èֵΪRµÄµç×裬µ¼¹ìÖÃÓڴŸÐӦǿ¶È´óСΪB¡¢·½ÏòÓëµ¼¹ìÆ½Ãæ´¹Ö±µÄÔÈÇ¿´Å³¡ÖУ®½«Ò»¸ùÖÊÁ¿Îªm¡¢µç×èΪrµÄµ¼Ìå°ô´¹Ö±·ÅÔÚµ¼¹ìÉÏ£¬µ¼Ìå°ôabÇ¡Äܱ£³Ö¾²Ö¹£®ÏÖ¸øµ¼Ìå°ôÒ»¸ö´óСΪv0¡¢·½ÏòÑØµ¼¹ìÆ½ÃæÏòϵijõËÙ¶È£¬È»ºóÈÎÆäÔ˶¯£¬µ¼Ìå°ôÔÚÔ˶¯¹ý³ÌÖÐʼÖÕ±£³ÖÓëµ¼¹ì´¹Ö±²¢½Ó´¥Á¼ºÃ£®Éèµ¼Ìå°ôËùÊÜ»¬¶¯Ä¦²ÁÁ¦Óë×î´ó¾²Ä¦²ÁÁ¦´óСÏàµÈ£¬Çó£º
£¨1£©µ¼Ìå°ôÓëµ¼¹ì¼äµÄ¶¯Ä¦²ÁÒòÊý¦Ì£»
£¨2£©ÔÚÕû¸öÔ˶¯¹ý³ÌÖеç×èRÉϲúÉúµÄ½¹¶úÈÈ£»
£¨3£©µ¼Ìå°ôÔÚµ¼¹ìÉÏÒÆ¶¯µÄ×î´ó¾àÀ룮

²é¿´´ð°¸ºÍ½âÎö>>

¿ÆÄ¿£º¸ßÖÐÎïÀí À´Ô´£º ÌâÐÍ£º

ÈçͼËùʾ£¬¼ä¾àΪlµÄƽÐнðÊôµ¼¹ìLMNºÍOPQ·Ö±ð¹Ì¶¨ÔÚÁ½¸öÊúÖ±ÃæÄÚ£¬µç×èΪR¡¢ÖÊÁ¿Îªm¡¢³¤Îªl µÄÏàͬµ¼Ìå¸ËabºÍcd·Ö±ð·ÅÖÃÔÚµ¼¹ìÉÏ£¬²¢Óëµ¼¹ì´¹Ö±£®ÔÚˮƽ¹â»¬µ¼¹ì¼äÓÐÓëË®Æ½Ãæ³É¦È¡¢²¢´¹Ö±ÓÚabµÄÔÈÇ¿´Å³¡£»Çãбµ¼¹ì¼äÓÐÑØÐ±ÃæÏòϵÄÔÈÇ¿´Å³¡£¬´Å¸ÐӦǿ¶È¾ùΪB£®Çãбµ¼¹ìÓëË®Æ½Ãæ¼Ð½ÇҲΪ¦È£¬¸ËcdÓëÇãбµ¼¹ì¼ä¶¯Ä¦²ÁÒòËØÎª¦Ì£®ab¸ËÔÚˮƽºãÁ¦×÷Óþ«Ó¢¼Ò½ÌÍøÏÂÓɾ²Ö¹¿ªÊ¼Ô˶¯£¬µ±cd¸ÕÒª»¬¶¯Ê±abÇ¡´ïµ½×î´óËÙ¶È£®£¨¦È=30¡¢¦Ì=¡¢×î´ó¾²Ä¦²ÁÁ¦µÈÓÚ»¬¶¯Ä¦²ÁÁ¦£©Çó£º
£¨1£©´Ëʱ¸ËcdÖеĵçÁ÷´óС£»
£¨2£©¸ËabµÄ×î´óËÙ¶È£»
£¨3£©Èô´Ë¹ý³ÌÖÐÁ÷¹ý¸ËabµÄµçÁ¿Îªq£¬Ôòcd²úÉúµÄ½¹¶úÈÈQΪ¶à´ó£¿

²é¿´´ð°¸ºÍ½âÎö>>

¿ÆÄ¿£º¸ßÖÐÎïÀí À´Ô´£º ÌâÐÍ£º

¾«Ó¢¼Ò½ÌÍøÈçͼËùʾ£¬¼ä¾àΪLµÄ¹â»¬Æ½ÐнðÊôµ¼¹ìˮƽ·ÅÖã¬ÔÈÇ¿´Å³¡µÄ´Å¸ÐӦǿ¶ÈΪB£¬·½Ïò´¹Ö±ÓÚµ¼¹ìÆ½ÃæÏòÏ£®µ¼¹ìÉÏÓÐÒ»ÖÊÁ¿Îªm¡¢³¤ÎªLµÄ½ðÊô°ôab£¬½ðÊô°ôµç×èΪR£¬µ¼¹ìµÄÒ»¶ËÁ¬½Ó×èֵҲΪRµÄµç×裬µ¼¹ìµç×è²»¼Æ£¬½ðÊô°ôabÔÚһˮƽºãÁ¦F×÷ÓÃÏÂÓɾ²Ö¹¿ªÊ¼ÏòÓÒÔ˶¯£¬°ôÓëµ¼¹ìʼÖÕ±£³ÖÁ¼ºÃ½Ó´¥£®Çó£º
£¨1£©½ðÊô°ô×î´óËٶȦÔmµÄ´óС£»
£¨2£©½ðÊô°ôËÙ¶È×î´óʱ°ôÁ½¶ËµÄµçѹuab£®

²é¿´´ð°¸ºÍ½âÎö>>

ͬ²½Á·Ï°²á´ð°¸