ÉϺ£µ½ÄϾ©µÄÁгµÒÑÓÀ´µÚÎå´Î´óÌáËÙ£¬ËÙ¶È´ïµ½v1=180km/h£®ÎªÈ·±£°²È«£¬ÔÚÌú·Ó빫·½»²æµÄµÀ¿Ú´¦Ðè×°ÓÐ×Ô¶¯Ðźŵƣ®µ±Áгµ»¹ÓÐÒ»¶Î¾àÀë²Åµ½´ï¹«Â·µÀ¿Úʱ£¬µÀ¿ÚÓ¦ÁÁ³öºìµÆ£¬¾¯¸æÎ´Ô½¹ýÍ£³µÏߵįû³µÑ¸ËÙÖÆ¶¯£¬ÒÑÔ½¹ýÍ£³µÏߵįû³µ¸Ï¿ìͨ¹ý£®Èç¹ûÆû³µÍ¨¹ýµÀ¿ÚµÄËÙ¶Èv2=36km/h£¬Í£³µÏßÖÁµÀ¿ÚÀ¸Ä¾µÄ¾àÀëx0=5m£¬µÀ¿Ú¿í¶Èx=26m£¬Æû³µ³¤l=15m£¨ÈçͼËùʾ£©£¬²¢°Ñ»ð³µºÍÆû³µµÄÔ˶¯¶¼¿´³ÉÔÈËÙÖ±ÏßÔ˶¯£®ÎÊ£ºÁгµÀëµÀ¿ÚµÄ¾àÀëLΪ¶àÉÙʱÁÁºìµÆ£¬²ÅÄÜÈ·±£ÒÑÔ½¹ýÍ£³µÏߵįû³µ°²È«Ê»¹ýµÀ¿Ú£¿
![]()
| ÔÈËÙÖ±ÏßÔ˶¯¼°Æä¹«Ê½¡¢Í¼Ïñ£®°æÈ¨ËùÓÐ | |
| רÌ⣺ | ×·¼°¡¢ÏàÓöÎÊÌ⣮ |
| ·ÖÎö£º | Ϊȷ±£Ðгµ°²È«£¬ÒªÇóÁгµÊ»¹ý¾àÀëLµÄʱ¼äÄÚ£¬ÒÑÔ½¹ýÍ£³µÏߵįû³µµÄ³µÎ²±ØÐëÄÜͨ¹ýµÀ¿Ú£®ÏÈÇó³öÆû³µÄÜÔ½¹ýÍ£³µÏßÖÁ³µÎ²Í¨¹ýµÀ¿Ú£¬Æû³µµÄÎ»ÒÆ£¬ÔÙÇó³öͨ¹ýÕâ¶ÎÎ»ÒÆÐèÒªµÄʱ¼ä£¬¸ßËÙÁгµÔ˶¯µÄʱ¼äºÍÆû³µµÄʱ¼äÏàͬ£¬¸ù¾ÝÎ»ÒÆËٶȹ«Ê½¼´¿ÉÇó½â£® |
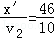
| ½â´ð£º | ½â£ºÎªÈ·±£Ðгµ°²È«£¬ÒªÇóÁгµÊ»¹ý¾àÀëLµÄʱ¼äÄÚ£¬ÒÑÔ½¹ýÍ£³µÏߵįû³µµÄ³µÎ²±ØÐëÄÜͨ¹ýµÀ¿Ú£® Æû³µÄÜÔ½¹ýÍ£³µÏßÖÁ³µÎ²Í¨¹ýµÀ¿Ú£¬Æû³µµÄÎ»ÒÆÎª x¡ä=l+x0+x=£¨15+5+26£©m=46 m Æû³µËÙ¶Èv2=36 km/h£¬Í¨¹ýÕâ¶ÎÎ»ÒÆÐèÒªµÄʱ¼ä t= ¸ßËÙÁгµµÄËÙ¶Èv1=180 km/h£¬ËùÒÔ°²È«ÐгµµÄ¾àÀëΪ L=v1t=50¡Á4.6 m=230 m£® ´ð£ºÁгµÀëµÀ¿ÚµÄ¾àÀëLΪ230mʱÁÁºìµÆ£¬²ÅÄÜÈ·±£ÒÑÔ½¹ýÍ£³µÏߵįû³µ°²È«Ê»¹ýµÀ¿Ú£® |
| µãÆÀ£º | ʵ¼ÊÇé¿öÖУ¬»¹Ó¦¿¼Âǵ½¹Ø±ÕÀ¸Ä¾ÐèÒªµÄʱ¼äÒÔ¼°Ô¤ÁôµÄ°²È«Ê±¼äµÈ£¬ËùÒÔÔÚÁгµÀëµÀ¿Ú¸üÔ¶µØ·½£¬µÀ¿Ú¾ÍÓ¦¸ÃÁÁÆðºìµÆ£¬·¢³ö¾¯¸æ£® |
¡¡
| Äê¼¶ | ¸ßÖÐ¿Î³Ì | Äê¼¶ | ³õÖÐ¿Î³Ì |
| ¸ßÒ» | ¸ßÒ»Ãâ·Ñ¿Î³ÌÍÆ¼ö£¡ | ³õÒ» | ³õÒ»Ãâ·Ñ¿Î³ÌÍÆ¼ö£¡ |
| ¸ß¶þ | ¸ß¶þÃâ·Ñ¿Î³ÌÍÆ¼ö£¡ | ³õ¶þ | ³õ¶þÃâ·Ñ¿Î³ÌÍÆ¼ö£¡ |
| ¸ßÈý | ¸ßÈýÃâ·Ñ¿Î³ÌÍÆ¼ö£¡ | ³õÈý | ³õÈýÃâ·Ñ¿Î³ÌÍÆ¼ö£¡ |
¿ÆÄ¿£º¸ßÖÐÎïÀí À´Ô´£º ÌâÐÍ£º
ÖÊÁ¿ºÍµçºÉÁ¿¶¼ÏàµÈµÄ´øµçÁ£×ÓMºÍN£¬ÒÔ²»Í¬µÄËÙÂʾС¿×S´¹Ö±½øÈëÔÈÇ¿´Å³¡£¬ÔËÐеİëÔ²¹ì¼£ÈçͼÖÐÐéÏßËùʾ£®ÏÂÁбíÊöÕýÈ·µÄÊÇ£¨¡¡¡¡£©
![]()
| ¡¡ | A£® | M´ø¸ºµç£¬N´øÕýµç |
| ¡¡ | B£® | MµÄËÙÂÊСÓÚNµÄËÙÂÊ |
| ¡¡ | C£® | ÂåÂ××ÈÁ¦¶ÔM¡¢N×öÕý¹¦ |
| ¡¡ | D£® | MµÄÔËÐÐʱ¼äµÈÓÚNµÄÔËÐÐʱ¼ä |
²é¿´´ð°¸ºÍ½âÎö>>
¿ÆÄ¿£º¸ßÖÐÎïÀí À´Ô´£º ÌâÐÍ£º
ÔÚÑо¿Î¢Ð͵綯»úµÄÐÔÄÜʱ£¬Ó¦ÓÃÈçͼËùʾµÄʵÑéµç·£¬µ±µ÷½Ú»¬¶¯±ä×èÆ÷R²¢¿ØÖƵ綯»úֹͣת¶¯Ê±£¬µçÁ÷±íºÍµçѹ±íµÄʾÊý·Ö±ðΪ0.5AºÍ2V£®ÖØÐµ÷½ÚR²¢Ê¹µç¶¯»ú»Ö¸´Õý³£ÔËת£¬´ËʱµçÁ÷±íºÍµçѹ±íµÄʾÊý·Ö±ðΪ2AºÍ24V£¬ÔòÕą̂µç¶¯»úÕý³£ÔËתʱµÄÊä³ö¹¦ÂÊΪ£¨¡¡¡¡£©
![]()
| ¡¡ | A£® | 48W | B£® | 47W | C£® | 44W | D£® | 32W |
²é¿´´ð°¸ºÍ½âÎö>>
¿ÆÄ¿£º¸ßÖÐÎïÀí À´Ô´£º ÌâÐÍ£º
ÏÖ´úÕ½ÕùÊǿƼ¼Ö®Õ½¡¢ÐÅÏ¢Ö®Õ½£¬Ä³¼¯Ížü½øÐеÄÒ»´ÎʵսÑÝϰ¹ý³Ì£¬ÔÚ»ùµØµ¼Ñݲ¿µÄ´óÐÍÏÔʾÆÁÉÏÒ»ÀÀÎÞÓ࣬ÈçͼËùʾÊÇÀ¶¾üÓÉ»ùµØA·ÖÈý·´ó¾ü½ø¹¥ºì¾ü»ùµØBµÄÏÔʾ£¬ÈôÓÃs1¡¢s2ºÍs3·Ö±ð±íʾÈý·´ó¾üµÄÎ»ÒÆ£¬ÔòÓÉ´óÆÁÄ»
µÄÏÔʾͼ¿ÉÖª£¨¡¡¡¡£©
![]()
| ¡¡ | A£® | s1£¾s2£¾s3 | B£® | s1£¼s2£¼s3 |
| ¡¡ | C£® | s1=s2=s3 | D£® | ÈýÕß¹ØÏµÎÞ·¨È·¶¨ |
²é¿´´ð°¸ºÍ½âÎö>>
¿ÆÄ¿£º¸ßÖÐÎïÀí À´Ô´£º ÌâÐÍ£º
ÈçͼÊÇÓÃÆµÉÁ·¨£¨ÉÁ¹âƵÂÊÒ»¶¨£©ÅĵõÄÈý·ùÌåÓýÉãÓ°×÷Æ·£¬Çë¸ù¾ÝÔ˶¯Ñ§ÖªÊ¶ÅжÏÏÂÁÐ˵·¨ÖÐÕýÈ·µÄÊÇ£¨¡¡¡¡£©
![]()
| ¡¡ | A£® | µÚÒ»·ùͼÊdzµ¼õËÙ½×¶ÎÅÄÉãµÄ |
| ¡¡ | B£® | µÚÒ»·ùͼÊdzµ¼ÓËÙ½×¶ÎÅÄÉãµÄ |
| ¡¡ | C£® | µÚÈý·ùͼÊdzµ¼õËÙ½×¶ÎÅÄÉãµÄ |
| ¡¡ | D£® | Èý·ùͼ¶¼ÊdzµÔÈËÙ½×¶ÎÅÄÉãµÄ |
²é¿´´ð°¸ºÍ½âÎö>>
¿ÆÄ¿£º¸ßÖÐÎïÀí À´Ô´£º ÌâÐÍ£º
¼×¡¢ÒÒÁ½Á¾Æû³µÑØÆ½Ö±¹«Â·´ÓijµØÍ¬Ê±Ê»ÏòͬһĿ±ê£¬¼×³µÔÚǰһ°ëʱ¼äÄÚÒÔËÙ¶ÈV1×öÔÈËÙÖ±ÏßÔ˶¯£¬ºóÒ»°ëʱ¼äÄÚÒÔËÙ¶ÈV2×öÔÈËÙÖ±ÏßÔ˶¯£»ÒÒ³µÔÚǰһ°ë·³ÌÖÐÒÔËÙ¶ÈV1×öÔÈËÙÖ±ÏßÔ˶¯£¬ºóÒ»°ë·³ÌÖÐÒÔËÙ¶ÈV2×öÔÈËÙÖ±ÏßÔ˶¯£¬£¨V1¡ÙV2£©Ôò£¨¡¡¡¡£©
| ¡¡ | A£® | ¼×Ïȵ½´ï | B£® | ÒÒÏȵ½´ï |
| ¡¡ | C£® | ¼×¡¢ÒÒͬʱµ½´ï | D£® | ²»ÄÜÈ·¶¨ |
²é¿´´ð°¸ºÍ½âÎö>>
¿ÆÄ¿£º¸ßÖÐÎïÀí À´Ô´£º ÌâÐÍ£º
µÎË®·¨²âÖØÁ¦¼ÓËٶȵĹý³ÌÊÇÕâÑùµÄ£®ÈÃË®ÁúÍ·µÄˮһµÎÒ»µÎµØµÎÔÚÆäÕýÏ·½µÄÅÌ×ÓÀµ÷ÕûË®ÁúÍ·£®ÈÃǰһµÎË®µ½ÅÌ×Ó¶øÌýµ½ÉùÒôʱºóÒ»µÎÇ¡À뿪ˮÁúÍ·£®²â³ön´ÎÌýµ½Ë®»÷ÅÌÉùµÄ×Üʱ¼äΪt£¬Óÿ̶ȳßÁ¿³öË®ÁúÍ·µ½ÅÌ×ӵĸ߶ȲîΪh£®¼´¿ÉËã³öÖØÁ¦¼ÓËÙ¶È£®ÉèÈ˶úÄÜÇø±ðÁ½¸öÉùÒôµÄʱ¼ä¼ä¸ôΪO.1s£¬ÉùËÙΪ340m/s£¬Ôò£¨¡¡¡¡£©
| ¡¡ | A£® | Ë®ÁúÍ·¾àÈ˶úµÄ¾àÀëÖÁÉÙΪ34m |
| ¡¡ | B£® | Ë®ÁúÍ·¾àÅÌ×ӵľàÀëÖÁÉÙΪ34m |
| ¡¡ | C£® | ÖØÁ¦¼ÓËٶȵļÆËãʽΪg= |
| ¡¡ | D£® | ÖØÁ¦¼ÓËٶȵļÆËãʽΪg= |
²é¿´´ð°¸ºÍ½âÎö>>
¿ÆÄ¿£º¸ßÖÐÎïÀí À´Ô´£º ÌâÐÍ£º
Èçͼ£¬ÔÚÇã½ÇΪ¦ÁµÄ¹Ì¶¨¹â»¬Ð±ÃæÉÏ£¬ÓÐÒ»ÓÃÉþ×Ó˨×ŵij¤Ä¾°å£¬Ä¾°åÉÏÕ¾×Åһֻ裮ÒÑ֪ľ°åµÄÖÊÁ¿ÊÇèµÄÖÊÁ¿µÄ2±¶£®µ±Éþ×ÓͻȻ¶Ï¿ªÊ±£¬Ã¨Á¢¼´ÑØ×ŰåÏòÉÏÅÜ£¬ÒÔ±£³ÖÆäÏà¶ÔÐ±ÃæµÄλÖò»±ä£®Ôò´Ëʱľ°åÑØÐ±ÃæÏ»¬µÄ¼ÓËÙ¶ÈΪ£¨¡¡¡¡£©
![]()
| ¡¡ | A£® |
| B£® | gsin¦Á | C£® |
| D£® | 2gsin¦Á |
²é¿´´ð°¸ºÍ½âÎö>>
¿ÆÄ¿£º¸ßÖÐÎïÀí À´Ô´£º ÌâÐÍ£º
һĦÍгµÓɾ²Ö¹¿ªÊ¼ÔÚÆ½Ö±µÄ¹«Â·ÉÏÐÐÊ»£¬ÆäÔ˶¯¹ý³ÌµÄv-tͼÏóÈçͼËùʾ¡£Çó£º
(1).ĦÍгµÔÚ0-20sÕâ¶Îʱ¼äµÄ¼ÓËÙ¶È´óСa£»
(2).ĦÍгµÔÚ0-75sÕâ¶Îʱ¼äµÄƽ¾ùËÙ¶È´óС
¡£
![]()
²é¿´´ð°¸ºÍ½âÎö>>
¹ú¼ÊѧУÓÅÑ¡ - Á·Ï°²áÁбí - ÊÔÌâÁбí
ºþ±±Ê¡»¥ÁªÍøÎ¥·¨ºÍ²»Á¼ÐÅÏ¢¾Ù±¨Æ½Ì¨ | ÍøÉÏÓк¦ÐÅÏ¢¾Ù±¨×¨Çø | µçÐÅթƾٱ¨×¨Çø | ÉæÀúÊ·ÐéÎÞÖ÷ÒåÓк¦ÐÅÏ¢¾Ù±¨×¨Çø | ÉæÆóÇÖȨ¾Ù±¨×¨Çø
Î¥·¨ºÍ²»Á¼ÐÅÏ¢¾Ù±¨µç»°£º027-86699610 ¾Ù±¨ÓÊÏ䣺58377363@163.com