精英家教网 > 试题搜索列表 >胆矾配位键

胆矾配位键答案解析

科目:gzhx 来源: 题型:

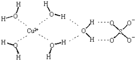
科学家通过X射线推测胆矾中既含有配位键,又含有氢键,其结构示意图可简单表示如下,其中配位键和氢键均采用虚线表示.
(1)写出基态Cu原子的核外电子排布式
 
;金属铜采用下列
 
堆积方式.

(2)Cu2+还能与NH3、Cl-等形成配位数为4的配合物.
①[Cu(NH34]2+中存在的化学键类型有
 
(填序号).
A.配位键    B.离子键    C.极性共价键   D.非极性共价键
②已知[Cu(NH34]2+具有对称的空间构型,若[Cu(NH34]2+中的两个NH3被两个Cl-取代,能得到两种不同结构的产物,则[Cu(NH34]2+的空间构型为
 

③如图是铜的某种氧化物的晶胞结构示意图,可确定该晶胞中阴离子的个数为
 

(3)SO42-的VSEPR模型为
 

查看答案和解析>>

科目:gzhx 来源:2015-2016学年四川省高二下期末化学试卷(解析版) 题型:填空题

科学家通过X射线推测胆矾中既含有配位键,又含有氢键,其结构示意图如图1可简单表示如下,其中配位键和氢键均采用虚线表示。

(1)金属铜采用下列______________堆积方式。

(2)Cu2+还能与NH3、Cl-等形成配位数为4的配合物。

①[Cu(NH3)4]2+中存在的化学键类型有______________(填序号)。

A.配位键 B.离子键 C.极性共价键 D.非极性共价键

②元素金(Au)处于周期表中的第六周期,与Cu同族,一种铜合金晶体具有立方最密堆积的结构,在晶胞中Cu原子处于面心,Au原子处于顶点位置,则该合金中Cu原子与Au原子数量之比为______________;

(3)在硫酸铜溶液中逐滴滴加氨水至过量,先出现蓝色沉淀,最后溶解形成深蓝色溶液.写出此蓝色沉淀溶解的离子方程式:______________;

(4)向黄色的三氯化铁溶液中加入无色的KSCN溶液,溶液变成血红色.该反应在有的教材中用方程式FeCl3+3KSCN═Fe(SCN)3+3KCl表示.经研究表明,Fe(SCN)3是配合物,Fe3+与SCN-不仅能以1:3的个数比配合,还可以其他个数比配合.请按要求填空:

①Fe3+与SCN-反应时,Fe3+提供______________,SCN-提供______________,二者通过配位键结合.

②所得Fe3+与SCN-的配合物中,主要是Fe3+与SCN-以个数比1:1配合所得离子显血红色.含该离子的配合物的化学式是______________。

查看答案和解析>>

科目:gzhx 来源: 题型:解答题

18.科学家通过X射线推测胆矾中既含有配位键,又含有氢键,其结构示意图可简单表示如下,其中配位键和氢键均采用虚线表示.
①写出基态Cu原子的核外电子排布式1s22s22p63s23p63d104s1或[Ar]3d104s1
②写出胆矾晶体中水合铜离子的结构简式(必须将配位键表示出来)
③将胆矾溶于水得到天蓝色溶液,往溶液中逐滴加入氨水,现象为先有蓝色沉淀生成后变为深蓝色溶液,反应的离子方程式为Cu2++2NH3•H2O═Cu(OH)2+2NH4+;Cu(OH)2+4NH3•H2O═Cu(NH342++4H2O+2OH-
④已知NF3与NH3的立体结构相同,但NF3不易与Cu2+形成配离子,其原因是F的电负性比N大,N-F成键电子对向F偏移,导致NF3中N原子核对其孤对电子的吸引能力增强,难以形成配位键,故NF3不易与Cu2+形成配离子(或在NF3中氟原子非金属性强,是吸电子的,使得氮原子上的孤对电子难于与Cu2+形成配位键).

查看答案和解析>>

科目:gzhx 来源: 题型:

(1)科学家通过X射线推测胆矾中既含有配位键,又含有氢键,其结构示意图可简单表示如下,其中配位键和氢键均采用虚线表示.
①写出基态Cu原子的核外电子排布式:
1s22s22p63s23p63d104s1或[Ar]3d104s1
1s22s22p63s23p63d104s1或[Ar]3d104s1

②写出胆矾晶体中水合铜离子的结构简式(必须将配位键表示出来):

(2)很多不饱和有机物在Ni催化下可以与H2发生加成反应,如①CH2=CH2、②CH≡CH、③、④HCHO等,其中碳原子采取sp2杂化的分子有
①③④
①③④
(填物质序号),预测HCHO分子的立体结构为
平面三角
平面三角
形.

查看答案和解析>>

科目:gzhx 来源: 题型:填空题

12.胆矾晶体(CuSO4•5H2O)中4个水分子与铜离子形成配位键,另一个水分子只以氢键与相邻微粒结合.某兴趣小组称取2.500g胆矾晶体,逐渐升温使其失水,并准确测定不同温度下剩余固体的质量,得到如右图所示的实验结果示意图.以下说法正确的是CD(填标号).
A.晶体从常温升至105℃的过程中只有氢键断裂
B.受热过程中,胆矾晶体中形成配位键的4个水分子同时失去
C.120℃时,剩余固体的化学式是CuSO4•H2O
D.按胆矾晶体失水时所克服的作用力大小不同,晶体中的水分子所处化学环境可以分为3种.

查看答案和解析>>

科目:gzhx 来源:2015-2016学年湖北省高二5月月考化学试卷(解析版) 题型:填空题

硫酸铜晶体,俗称蓝矾、胆矾,具有催吐,祛腐,解毒。取5.0 g胆矾样品逐渐升高温度使其分解,分解过程的热重如下表。回答下列问题:

温度范围/℃

固体质量/g

258~680

3.20

680~1000

1.60

1000以上

1.44

(1)测定蓝矾属于晶体的物理方法是____________。其中SO42-中S原子的轨道杂化形式是____________;H2O的空间构型是__________________。

(2)将硫酸铜晶体加热到258~680℃生成的物质A,A是__________(化学式);A溶于水配成溶液,加入氨水,观察到的现象是_____________________________________________;最终得到溶液中的含铜元素的离子是_________________(化学式),该离子含有的化学键类型有___________________。

(3)将硫酸铜晶体加热到1000℃以上生成的物质C,在C中的铜的离子的基态电子排布式是____________;

(4)如图是硫酸铜晶体分解得到一定温度的产物的晶胞(白球和黑球代表不同的原子)。

①该温度是_______________。

②铜原子的配位数是_______________。

③已知该晶体的密度为dg·cm-3,则晶胞参数是_________________pm。

查看答案和解析>>

科目:gzhx 来源:2013-2014学年高考化学三轮复习排查 专题14物质结构与性质选修3练习卷(解析版) 题型:填空题

图示法和图像法都是常用的科学研究方法。

(1)科学家通过X射线推测胆矾中既含有配位键又含有氢键其结构示意图可简单表示如下,其中配位键和氢键均采用虚线表示。

写出基态Cu原子的核外电子排布式________________________________

写出胆矾晶体中水合铜离子的结构简式(必须将配位键表示出来)________

(2)下图是研究部分元素氢化物的沸点变化规律的图像折线c可以表达出第________族元素氢化物的沸点变化规律。两位同学对某主族元素氢化物的沸点的变化趋势画出了两条折线——折线a和折线b你认为正确的是________(ab)理由是______________________________________________________________

(3)第三周期元素的气态电中性基态原子失去最外层一个电子转化为气态基态正离子所需的最低能量叫做第一电离能(设为E)。如图所示:

同周期内随着原子序数的增大E值变化的总趋势是________

根据图中提供的信息试推断E________E(“>”“<”下同)

根据第一电离能的含义和元素周期律试推断E________E

 

查看答案和解析>>

科目:gzhx 来源:不详 题型:填空题

图示法和图像法都是常用的科学研究方法。
(1)科学家通过X射线推测胆矾中既含有配位键又含有氢键,其结构示意图可简单表示如下,其中配位键和氢键均采用虚线表示。

①写出基态Cu原子的核外电子排布式________________________________。
②写出胆矾晶体中水合铜离子的结构简式(必须将配位键表示出来)________。
(2)下图是研究部分元素氢化物的沸点变化规律的图像,折线c可以表达出第________族元素氢化物的沸点变化规律。两位同学对某主族元素氢化物的沸点的变化趋势画出了两条折线——折线a和折线b,你认为正确的是________(填“a”或“b”),理由是______________________________________________________________。

(3)第三周期元素的气态电中性基态原子失去最外层一个电子转化为气态基态正离子所需的最低能量叫做第一电离能(设为E)。如图所示:

①同周期内,随着原子序数的增大,E值变化的总趋势是________;
②根据图中提供的信息,试推断E________E(填“>”、“<”或“=”,下同);
③根据第一电离能的含义和元素周期律,试推断E________E

查看答案和解析>>

科目:gzhx 来源: 题型:填空题

图示法和图像法都是常用的科学研究方法。
(1)科学家通过X射线推测胆矾中既含有配位键又含有氢键,其结构示意图可简单表示如下,其中配位键和氢键均采用虚线表示。

①写出基态Cu原子的核外电子排布式____________________。
②写出胆矾晶体中水合铜离子的结构简式(必须将配位键表示出来)________。
(2)下图是研究部分元素氢化物的沸点变化规律的图像,折线c可以表达出第________族元素氢化物的沸点变化规律。两位同学对某主族元素氢化物的沸点的变化趋势画出了两条折线——折线a和折线b,你认为正确的是________(填“a”或“b”),理由是______________________________________________________________。

(3)第三周期元素的气态电中性基态原子失去最外层一个电子转化为气态基态正离子所需的最低能量叫做第一电离能(设为E)。如图所示:

①同周期内,随着原子序数的增大,E值变化的总趋势是________;
②根据图中提供的信息,试推断E________E(填“>”、“<”或“=”,下同);
③根据第一电离能的含义和元素周期律,试推断E________E

查看答案和解析>>

科目:gzhx 来源:2013-2014学年高考化学二轮复习提分训练专题12物质结构与性质(选修)练习卷(解析版) 题型:填空题

图示法和图像法都是常用的科学研究方法。

1科学家通过X射线推测胆矾中既含有配位键又含有氢键,其结构示意图可简单表示如下,其中配位键和氢键均采用虚线表示。

写出基态Cu原子的核外电子排布式____________________

写出胆矾晶体中水合铜离子的结构简式(必须将配位键表示出来)________

2)下图是研究部分元素氢化物的沸点变化规律的图像,折线c可以表达出第________族元素氢化物的沸点变化规律。两位同学对某主族元素氢化物的沸点的变化趋势画出了两条折线——折线a和折线b,你认为正确的是________(填“a”“b”),理由是______________________________________________________________

3)第三周期元素的气态电中性基态原子失去最外层一个电子转化为气态基态正离子所需的最低能量叫做第一电离能(设为E)。如图所示:

同周期内,随着原子序数的增大,E值变化的总趋势是________

根据图中提供的信息,试推断E________E(填,下同);

根据第一电离能的含义和元素周期律,试推断E________E

 

查看答案和解析>>

科目:gzhx 来源: 题型:解答题

4.图示法和图象法都是常用的科学研究方法.
(1)科学家通过X射线推测胆矾中既含有配位键又含有氢键,其结构示意图1可简单表示如下,其中配位键和氢键均采用虚线表示.
①基态Cu原子的核外有29个运动状态不同的电子.
②写出胆矾晶体中水合铜离子的结构简式(必须将配位键表示出来)
(2)图2是研究部分元素氢化物的沸点变化规律的图象,折线c可以表达出第IVA族元素氢化物的沸点变化规律.两位同学对某主族元素氢化物的沸点的变化趋势画出了两条折线--折线a和折线b,你认为正确的是b(填“a”或“b”),理由是由于水分子间存在氢键,水的沸点高于同主族元素形成的氢化物.
(3)第三周期元素的气态电中性基态原子失去最外层一个电子转化为气态基态正离子所需的最低能量叫做第一电离能(设为E).如图3所示
①同周期内,随着原子序数的增大,E值变化的总趋势是增大;
②根据图中提供的信息,试推断E<E(填“>”、“<”或“=”,下同);
③根据第一电离能的含义和元素周期律,试推断E>E

查看答案和解析>>

科目:gzhx 来源: 题型:

(1)科学家通过X射线推测胆矾结构示意图可简单表示如下,图中虚线表示的作用力分别为
氢键、配位键
氢键、配位键


(2)在硫酸铜溶液中逐滴滴加氨水至过量,先出现蓝色沉淀,最后溶解形成深蓝色的溶液.写出此蓝色沉淀溶解的离子方程式:
Cu(OH)2+4NH3•H2O=[Cu(NH34]2++2OH-+4H2O
Cu(OH)2+4NH3•H2O=[Cu(NH34]2++2OH-+4H2O

(3)SiCl4与SO42一互为等电子体,预测SO42一的空间构型为
正四面体
正四面体

查看答案和解析>>

科目:gzhx 来源: 题型:多选题

16.下列说法正确的是(  )
A.在如图结构示意图中,所有氧原子都采用sp3杂化
B.在如图结构示意图中,存在配位键、共价键和离子键
C.胆矾是分子晶体,分子间存在氢键
D.胆矾中的水在不同温度下会分步失去

查看答案和解析>>

科目:gzhx 来源: 题型:

波尔多液是一种保护性杀菌剂,广泛应用于树木、果树和花卉上,鲜蓝色的胆矾晶体是配制波尔多液的主要原料。已知CuSO4·5H2O的部分结构可表示如下:

(1)写出铜原子价电子层的电子排布式____________,与铜同周期的所有元素的基态原子中最外层电子数与铜原子相同的元素有__________(填元素符号)。

(2)请在上图中把CuSO4·5H2O结构中的化学键用短线“——”表示出来。

(3)往浓CuSO4溶液中加入过量较浓的NH3·H2O直到原先生成的沉淀恰好溶解为止,得到深蓝色溶液。小心加入约和溶液等体积的C2H5OH并使之分成两层,静置。经过一段时间后可观察到在两层“交界处”下部析出深蓝色Cu(NH3)4SO4·H2O晶体。实验中所加C2H5OH的作用是______________________________________________。

(4)Cu(NH3)4SO4·H2O晶体中呈正四面体的原子团是______________,杂化轨道类型是sp3的原子是____________________________。

(5)如将深蓝色溶液加热,可能得到什么结果?________________________________。

(6)把CoCl2溶解于水后加氨水直到先生成的Co(OH)2沉淀又溶解后,再加氨水,使生成[Co(NH3)6]2+。此时向溶液中通入空气,得到的产物中有一种其组成可用CoCl3·5NH3表示。把分离出的CoCl3·5NH3溶于水后立即加硝酸银溶液,则析出AgCl沉淀。经测定,每1 mol CoCl3·5NH3只生成2 mol AgCl。请写出表示此配合物结构的化学式(钴的配位数为6)___________,此配合物中的Co化合价为__  ____。

查看答案和解析>>

科目:gzhx 来源: 题型:

波尔多液是一种保护性杀菌剂,广泛应用于树木、果树和花卉上,鲜蓝色的胆矾晶体是配制波尔多液的主要原料.已知CuSO4•5H2O的部分结构可表示如下:

(1)写出铜原子价电子层的电子排布式
 
,与铜同周期的所有元素的基态原子中最外层电子数与铜原子相同的元素有
 
(填元素符号).
(2)请在图中把CuSO4•5H2O结构中的化学键用短线“
 
”表示出来.
(3)往浓CuSO4溶液中加入过量较浓的NH3•H2O直到原先生成的沉淀恰好溶解为止,得到深蓝色溶液.小心加入约和溶液等体积的C2H5H并使之分成两层,静置.经过一段时间后可观察到在两层“交界处”下部析出深蓝色Cu(NH34SO4•H2O晶体.实验中所加C2H5OH的作用是
 

(4)Cu(NH34SO4•H2O晶体中呈正四面体的原子团是
 
,杂化轨道类型是sp3的原子是
 

(5)如将深蓝色溶液加热,可能得到什么结果?
 

(6)把CoCl2溶解于水后加氨水直到先生成的Co(OH)2沉淀又溶解后,再加氨水,使生成[Co(NH36]2+.此时向溶液中通入空气,得到的产物中有一种其组成可用CoCl3•5NH3表示.把分离出的CoCl3•5NH3溶于水后立即加硝酸银溶液,则析出AgCl沉淀.经测定,每1mol CoCl3•5NH只生成2mol AgCl.请写出表示此配合物结构的化学式(钴的配位数为6)
 
,此配合物中的Co化合价为
 

查看答案和解析>>

科目:gzhx 来源: 题型:

(16分)波尔多液是一种保护性杀菌剂,广泛应用于树木、果树和花卉上,鲜蓝色的胆矾晶体是配制波尔多液的主要原料。已知CuSO4·5H2O的部分结构可表示如下:

(1)写出铜原子价电子层的电子排布式____________,与铜同周期的所有元素的基态原子中最外层电子数与铜原子相同的元素有__________(填元素符号)。

(2)请在上图中把CuSO4·5H2O结构中的化学键用短线“——”表示出来。

(3)往浓CuSO4溶液中加入过量较浓的NH3·H2O直到原先生成的沉淀恰好溶解为止,得到深蓝色溶液。小心加入约和溶液等体积的C2H5OH并使之分成两层,静置。经过一段时间后可观察到在两层“交界处”下部析出深蓝色Cu(NH3)4SO4·H2O晶体。实验中所加C2H5OH的作用是______________________________________________。

(4)Cu(NH3)4SO4·H2O晶体中呈正四面体的原子团是______________,杂化轨道类型是sp3的原子是____________________________。

(5)如将深蓝色溶液加热,可能得到什么结果?________________________________。

(6)把CoCl2溶解于水后加氨水直到先生成的Co(OH)2沉淀又溶解后,再加氨水,使生成[Co(NH3)6]2+。此时向溶液中通入空气,得到的产物中有一种其组成可用CoCl3·5NH3表示。把分离出的CoCl3·5NH3溶于水后立即加硝酸银溶液,则析出AgCl沉淀。经测定,每1 mol CoCl3·5NH3只生成2 mol AgCl。请写出表示此配合物结构的化学式(钴的配位数为6)___________,此配合物中的Co化合价为__  ____。

 

查看答案和解析>>

科目:gzhx 来源:2010年郑州市智林学校高二下学期期末考试化学试题 题型:填空题

(16分)波尔多液是一种保护性杀菌剂,广泛应用于树木、果树和花卉上,鲜蓝色的胆矾晶体是配制波尔多液的主要原料。已知CuSO4·5H2O的部分结构可表示如下:

(1)写出铜原子价电子层的电子排布式____________,与铜同周期的所有元素的基态原子中最外层电子数与铜原子相同的元素有__________(填元素符号)。
(2)请在上图中把CuSO4·5H2O结构中的化学键用短线“——”表示出来。
(3)往浓CuSO4溶液中加入过量较浓的NH3·H2O直到原先生成的沉淀恰好溶解为止,得到深蓝色溶液。小心加入约和溶液等体积的C2H5OH并使之分成两层,静置。经过一段时间后可观察到在两层“交界处”下部析出深蓝色Cu(NH3)4SO4·H2O晶体。实验中所加C2H5OH的作用是______________________________________________。
(4)Cu(NH3)4SO4·H2O晶体中呈正四面体的原子团是______________,杂化轨道类型是sp3的原子是____________________________。
(5)如将深蓝色溶液加热,可能得到什么结果?________________________________。
(6)把CoCl2溶解于水后加氨水直到先生成的Co(OH)2沉淀又溶解后,再加氨水,使生成[Co(NH3)6]2+。此时向溶液中通入空气,得到的产物中有一种其组成可用CoCl3·5NH3表示。把分离出的CoCl3·5NH3溶于水后立即加硝酸银溶液,则析出AgCl沉淀。经测定,每1 mol CoCl3·5NH3只生成2 mol AgCl。请写出表示此配合物结构的化学式(钴的配位数为6)___________,此配合物中的Co化合价为__  ____。

查看答案和解析>>

科目:gzhx 来源:2010年郑州市高二下学期期末考试化学试题 题型:填空题

(16分)波尔多液是一种保护性杀菌剂,广泛应用于树木、果树和花卉上,鲜蓝色的胆矾晶体是配制波尔多液的主要原料。已知CuSO4·5H2O的部分结构可表示如下:

(1)写出铜原子价电子层的电子排布式____________,与铜同周期的所有元素的基态原子中最外层电子数与铜原子相同的元素有__________(填元素符号)。

(2)请在上图中把CuSO4·5H2O结构中的化学键用短线“——”表示出来。

(3)往浓CuSO4溶液中加入过量较浓的NH3·H2O直到原先生成的沉淀恰好溶解为止,得到深蓝色溶液。小心加入约和溶液等体积的C2H5OH并使之分成两层,静置。经过一段时间后可观察到在两层“交界处”下部析出深蓝色Cu(NH3)4SO4·H2O晶体。实验中所加C2H5OH的作用是______________________________________________。

(4)Cu(NH3)4SO4·H2O晶体中呈正四面体的原子团是______________,杂化轨道类型是sp3的原子是____________________________。

(5)如将深蓝色溶液加热,可能得到什么结果?________________________________。

(6)把CoCl2溶解于水后加氨水直到先生成的Co(OH)2沉淀又溶解后,再加氨水,使生成[Co(NH3)6]2+。此时向溶液中通入空气,得到的产物中有一种其组成可用CoCl3·5NH3表示。把分离出的CoCl3·5NH3溶于水后立即加硝酸银溶液,则析出AgCl沉淀。经测定,每1 mol CoCl3·5NH3只生成2 mol AgCl。请写出表示此配合物结构的化学式(钴的配位数为6)___________,此配合物中的Co化合价为__  ____。

 

查看答案和解析>>

科目:gzhx 来源:不详 题型:填空题

(16分)波尔多液是一种保护性杀菌剂,广泛应用于树木、果树和花卉上,鲜蓝色的胆矾晶体是配制波尔多液的主要原料。已知CuSO4·5H2O的部分结构可表示如下:

(1)写出铜原子价电子层的电子排布式____________,与铜同周期的所有元素的基态原子中最外层电子数与铜原子相同的元素有__________(填元素符号)。
(2)请在上图中把CuSO4·5H2O结构中的化学键用短线“——”表示出来。
(3)往浓CuSO4溶液中加入过量较浓的NH3·H2O直到原先生成的沉淀恰好溶解为止,得到深蓝色溶液。小心加入约和溶液等体积的C2H5OH并使之分成两层,静置。经过一段时间后可观察到在两层“交界处”下部析出深蓝色Cu(NH3)4SO4·H2O晶体。实验中所加C2H5OH的作用是______________________________________________。
(4)Cu(NH3)4SO4·H2O晶体中呈正四面体的原子团是______________,杂化轨道类型是sp3的原子是____________________________。
(5)如将深蓝色溶液加热,可能得到什么结果?________________________________。
(6)把CoCl2溶解于水后加氨水直到先生成的Co(OH)2沉淀又溶解后,再加氨水,使生成[Co(NH3)6]2+。此时向溶液中通入空气,得到的产物中有一种其组成可用CoCl3·5NH3表示。把分离出的CoCl3·5NH3溶于水后立即加硝酸银溶液,则析出AgCl沉淀。经测定,每1 mol CoCl3·5NH3只生成2 mol AgCl。请写出表示此配合物结构的化学式(钴的配位数为6)___________,此配合物中的Co化合价为__  ____。

查看答案和解析>>

科目:gzhx 来源: 题型:

胆矾CuSO4•5H2O可写成[Cu(H2O)4]SO4•H2O,其结构示意图如图:下列说法正确的是 (  )
A、在上述物质的溶液中滴加BaCl2溶液无现象
B、在上述结构示意图中,存在配位键、共价键和离子键
C、胆矾是分子晶体,分子间存在氢键
D、胆矾中的结晶水在不同温度下会逐渐失去

查看答案和解析>>