0  421421  421429  421435  421439  421445  421447  421451  421457  421459  421465  421471  421475  421477  421481  421487  421489  421495  421499  421501  421505  421507  421511  421513  421515  421516  421517  421519  421520  421521  421523  421525  421529  421531  421535  421537  421541  421547  421549  421555  421559  421561  421565  421571  421577  421579  421585  421589  421591  421597  421601  421607  421615  447090 

45.(2009江苏卷)(本题满分10分)

在平面直角坐标系中,抛物线C的顶点在原点,经过点A(2,2),其焦点F轴上。

(1)求抛物线C的标准方程;

(2)求过点F,且与直线OA垂直的直线的方程;

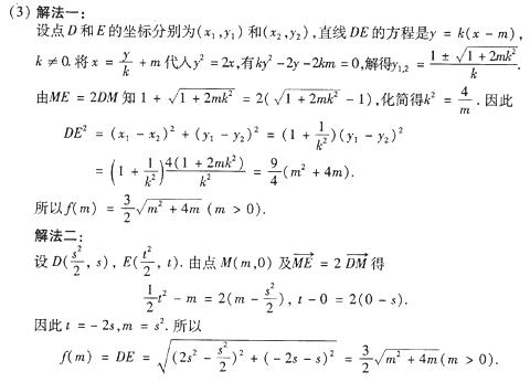
(3)设过点的直线交抛物线CDE两点,ME=2DM,记DE两点间的距离为,求关于的表达式。

   

试题详情

44.(2009北京理)(本小题共14分)

已知双曲线的离心率为,右准线方程为

(Ⅰ)求双曲线的方程;

(Ⅱ)设直线是圆上动点处的切线,与双曲线交于不同的两点,证明的大小为定值.

[解法1]本题主要考查双曲线的标准方程、圆的切线方程等基础知识,考查曲线和方程

的关系等解析几何的基本思想方法,考查推理、运算能力.

(Ⅰ)由题意,得,解得

 ∴,∴所求双曲线的方程为.

(Ⅱ)点在圆上,

圆在点处的切线方程为

化简得.

∵切线与双曲线C交于不同的两点A、B,且

,且

AB两点的坐标分别为

,且

.

的大小为.

[解法2](Ⅰ)同解法1.

(Ⅱ)点在圆上,

圆在点处的切线方程为

化简得.由

         ①

         ②

∵切线与双曲线C交于不同的两点A、B,且

,设A、B两点的坐标分别为

,∴ 的大小为.

(∵,∴,从而当时,方程①和方程②的判别式均大于零).

试题详情

43.(2009北京文)(本小题共14分)   

已知双曲线的离心率为,右准线方程为

(Ⅰ)求双曲线C的方程;

(Ⅱ)已知直线与双曲线C交于不同的两点AB,且线段AB的中点在圆上,求m的值. 

[解析]本题主要考查双曲线的标准方程、圆的切线方程等基础知识,考查曲线和方程

的关系等解析几何的基本思想方法,考查推理、运算能力.

解(Ⅰ)由题意,得,解得

,∴所求双曲线的方程为.

(Ⅱ)设AB两点的坐标分别为,线段AB的中点为

  由(判别式),

,

∵点在圆上,

,∴.

试题详情

42.(2009浙江文)(本题满分15分)

已知抛物线上一点到其焦点的距离为

(I)求的值;

(II)设抛物线上一点的横坐标为,过的直线交于另一点,交轴于点,过点的垂线交于另一点.若的切线,求的最小值.

解(Ⅰ)由抛物线方程得其准线方程:,根据抛物线定义

到焦点的距离等于它到准线的距离,即,解得

抛物线方程为:,将代入抛物线方程,解得

(Ⅱ)由题意知,过点的直线斜率存在且不为0,设其为

,当  则

联立方程,整理得:

即:,解得

,而直线斜率为    

,联立方程

整理得:,即:

 ,解得:,或

而抛物线在点N处切线斜率:

     MN是抛物线的切线,

      整理得

,解得(舍去),或

试题详情

41.(2009浙江理)(本题满分15分)

已知椭圆的右顶点为,过的焦点且垂直长轴的弦长为

 (I)求椭圆的方程;

 (II)设点在抛物线上,在点处的切线与交于点.当线段的中点与的中点的横坐标相等时,求的最小值.

解(I)由题意得所求的椭圆方程为,   

(II)不妨设则抛物线在点P处的切线斜率为,直线MN的方程为,将上式代入椭圆的方程中,得,即,因为直线MN与椭圆有两个不同的交点,所以有

设线段MN的中点的横坐标是,则,   

设线段PA的中点的横坐标是,则,由题意得,即有,其中的

时有,因此不等式不成立;因此,当时代入方程,将代入不等式成立,因此的最小值为1.

试题详情

40.(2009年广东卷文)(本小题满分14分)

已知椭圆G的中心在坐标原点,长轴在轴上,离心率为,两个焦点分别为,椭圆G上一点到的距离之和为12.圆:的圆心为点.

(1)求椭圆G方程

(2)求的面积

(3)问是否存在圆包围椭圆G?请说明理由.

解(1)设椭圆G的方程为:  ()半焦距为c;

   则 , 解得 ,

   所求椭圆G的方程为:.        

(2 )点的坐标为

 

(3)若,由可知点(6,0)在圆外,

  若,由可知点(-6,0)在圆外;

  不论K为何值圆都不能包围椭圆G.

试题详情

39.(2009年上海卷理)已知是椭圆(>0)的两个焦点,为椭圆上一点,且.若的面积为9,则=____________.        

[解析]依题意,有,可得4c2+36=4a2,即a2c2=9,

故有b=3。

[答案]3

试题详情

38.(2009湖南卷理)已知以双曲线C的两个焦点及虚轴的两个端点为原点的四边形中,有一个内角为60 ,则双曲线C的离心率为      .

[解析]连虚轴一个端点、一个焦点及原点的三角形,由条件知,这个三角形的两边直角分别是是虚半轴长,是焦半距,且一个内角是,即得,所以,所以,离心率.

[答案]

试题详情

37.(2009宁夏海南卷文)已知抛物线C的顶点坐标为原点,焦点在x轴上,直线y=x与抛物线C交于AB两点,若的中点,则抛物线C的方程为         。

[解析]设抛物线为y2kx,与yx联立方程组,消去y

得:x2kx=0,k=2×2,故.

[答案]

试题详情

36.(2009辽宁卷理)以知F是双曲线的左焦点,是双曲线右支上的动点,则的最小值为                

[解析]注意到P点在双曲线的两只之间,且双曲线右焦点为F’(4,0),

  于是由双曲线性质|PF|-|PF’|=2a=4

  而|PA|+|PF’|≥|AF’|=5

  两式相加得|PF|+|PA|≥9,当且仅当APF’三点共线时等号成立.

[答案]9

试题详情


同步练习册答案